Suppr超能文献

进化枝密度是否限制地理分布范围的演变?

Does Clade Density Constrain Geographical Range Evolution?

作者信息

Pie Marcio R, Divieso Raquel, Caron Fernanda S

机构信息

Biology Department Edge Hill University Ormskirk Lancashire UK.

Department of Biodiversity and Conservation Real Jardín Botánico - CSIC Madrid Spain.

出版信息

Ecol Evol. 2024 Oct 31;14(11):e70438. doi: 10.1002/ece3.70438. eCollection 2024 Nov.

Abstract

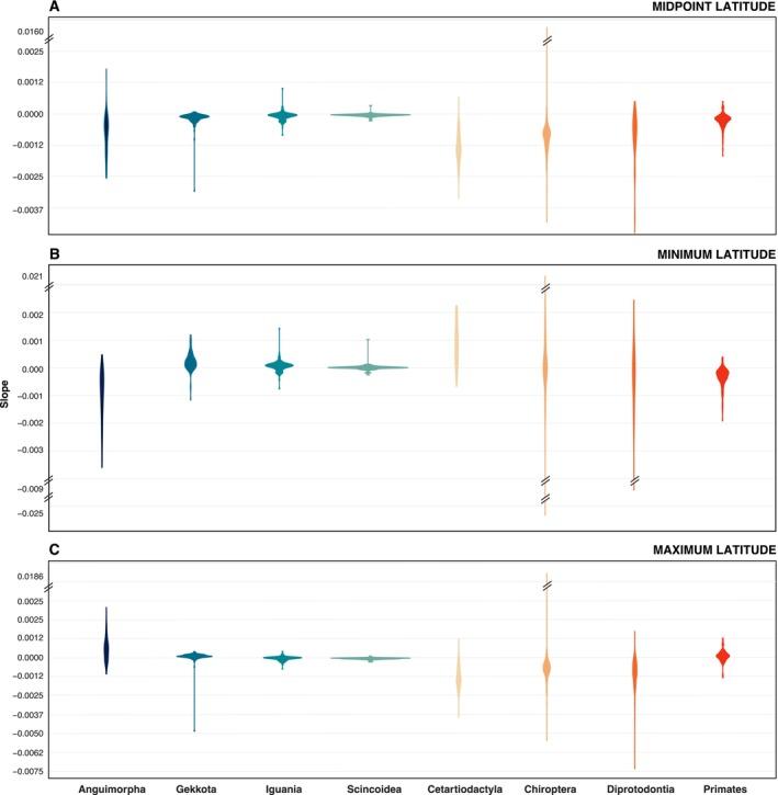
The role of biotic interactions, such as interspecific competition, in driving geographical range evolution is still poorly understood. For instance, lineages distributed across regions with a large number of potential competitors might experience some level of geographical packing of their range limits, so that changes in their geographical distributions are hampered. Conversely, a large number of competitors could instead lead to accelerated rates of geographical range evolution, with lineages shifting their ranges to avoid competition. We recently introduced the concept of clade density (CD; the sum of the areas of overlap between a species and other members of its higher taxon, weighted by their phylogenetic distance) as a proxy of the potential for interspecific competition across the geographical distribution of a given species. In this study, we used a large dataset with 5936 terrestrial vertebrate species to test whether CD is significantly associated with variation in the rate of geographical range evolution using two alternative approaches. First, we tested if there is a significant relationship between CD and the geographical distance between sister species. In addition, we estimated tip rates of geographical range evolution and tested if they were consistently associated with variation in CD. We found no evidence for an effect of CD on geographical range evolution in either of the tested approaches, even after accounting for phylogenetic uncertainty. These results are inconsistent with equilibrial models of species diversification and suggest that interspecific competition might not play a pervasive role in geographical range evolution of terrestrial vertebrates.

摘要

生物相互作用,如种间竞争,在推动地理分布范围演化中所起的作用仍未得到充分理解。例如,分布在有大量潜在竞争者区域的谱系可能会在一定程度上经历其分布范围界限的地理压缩,从而阻碍其地理分布的变化。相反,大量的竞争者反而可能导致地理分布范围演化速度加快,谱系会转移其分布范围以避免竞争。我们最近引入了分支密度(CD;一个物种与其高级分类单元的其他成员之间重叠区域的面积总和,按它们的系统发育距离加权)的概念,作为给定物种地理分布范围内种间竞争潜力的一个指标。在这项研究中,我们使用了一个包含5936种陆生脊椎动物的大型数据集,通过两种替代方法来测试CD是否与地理分布范围演化速率的变化显著相关。首先,我们测试了CD与姊妹物种之间的地理距离是否存在显著关系。此外,我们估计了地理分布范围演化的末端速率,并测试它们是否始终与CD的变化相关。即使在考虑了系统发育的不确定性之后,我们在任何一种测试方法中都没有发现CD对地理分布范围演化有影响的证据。这些结果与物种多样化的平衡模型不一致,并表明种间竞争可能在陆生脊椎动物的地理分布范围演化中并不普遍起作用。

https://cdn.ncbi.nlm.nih.gov/pmc/blobs/0396/11525068/dce216f212f3/ECE3-14-e70438-g004.jpg

文献AI研究员

20分钟写一篇综述,助力文献阅读效率提升50倍。

立即体验

用中文搜PubMed

大模型驱动的PubMed中文搜索引擎

马上搜索

文档翻译

学术文献翻译模型,支持多种主流文档格式。

立即体验