Suppr超能文献

大麻素受体 1 激动剂通过降低 NADPH 氧化酶 2 活性和氧化应激减轻谷氨酸诱导的兴奋性毒性的神经保护作用。

CB1 Receptor Activation Provides Neuroprotection in an Animal Model of Glutamate-Induced Excitotoxicity Through a Reduction of NOX-2 Activity and Oxidative Stress.

机构信息

División de Neurociencias, Instituto de Fisiología Celular, Universidad Nacional Autónoma de México, Ciudad de México, Mexico.

出版信息

CNS Neurosci Ther. 2024 Nov;30(11):e70099. doi: 10.1111/cns.70099.

Abstract

BACKGROUND

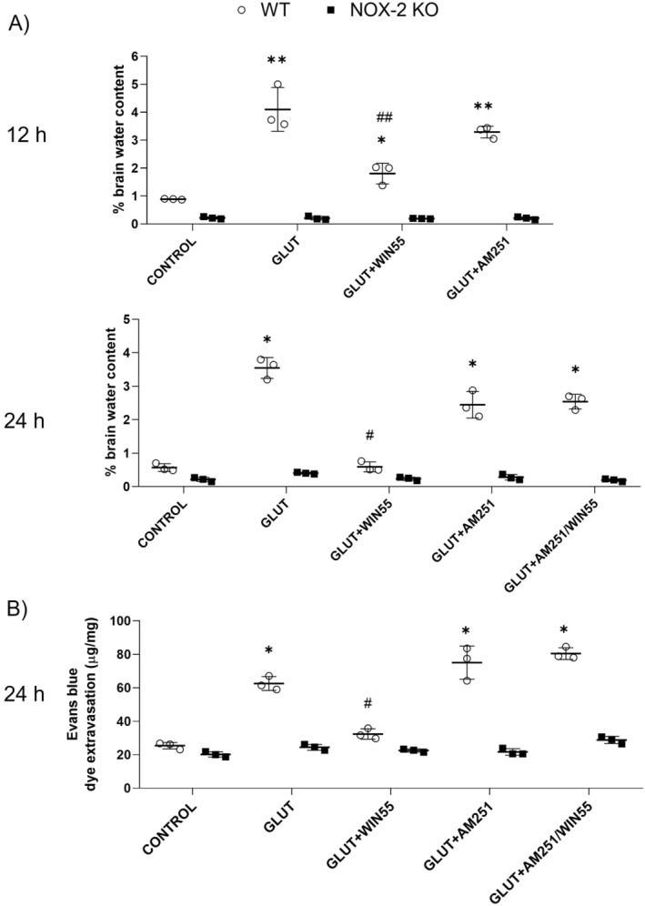
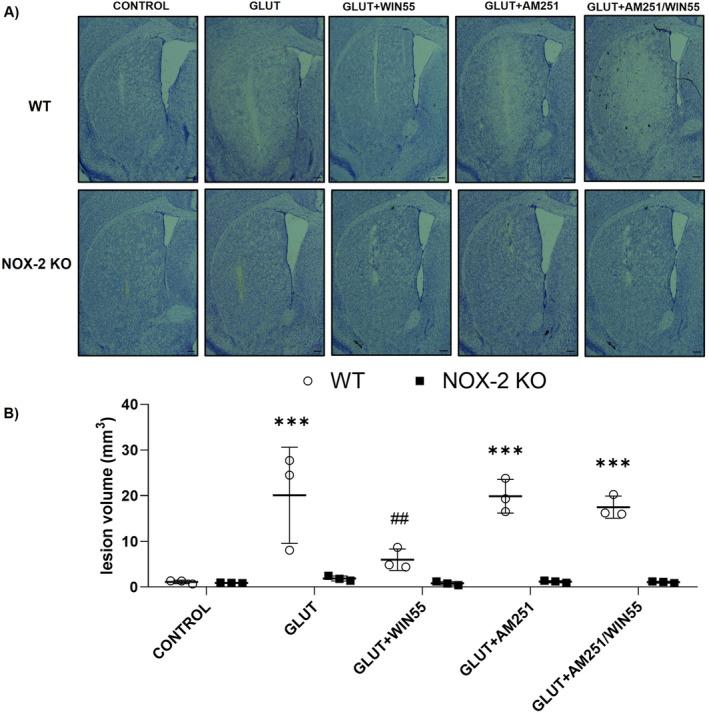
Excitotoxicity is a process in which NADPH oxidase-2 (NOX-2) plays a pivotal role in the generation of reactive oxygen species (ROS). Oxidative stress influences the expression of Aquaporin 4 (AQP4), a water channel implicated in blood-brain barrier (BBB) permeability and edema formation. The endocannabinoid system is widely distributed in the brain, particularly through the cannabinoid receptor type 1 (CB1) and type 2 (CB2), which have been shown to have a neuroprotective function in brain injury. Given the significant involvement of NOX-2 in ROS production during excitotoxicity, our research aims to assess the participation of NOX-2 in the neuroprotective effect of the cannabinoid receptor agonist WIN55,212-2 against glutamate-induced excitotoxicity damage in the striatum using in vivo model.

METHODS

Wild-type mice (C57BL/6) and NOX-2 KO (gp91) were stereotactically injected in the striatum with monosodium glutamate or vehicle. Subsequently, a group of mice was administered an intraperitoneal dose of WIN55,212-2, AM251, or AM251/WIN55,212-2 following the intracerebral injection. Motor activity was assessed, and the lesion was examined through histological sections stained with cresyl violet. Additionally, brain water content and Evans blue assay were conducted. The activity of NOX was quantified, and the protein expression of CB1, gp91, AQP4, Iba-1, TNF-α, and NF-κB was analyzed using Western blot. Furthermore, ROS formation was measured through the DHE assay.

RESULTS

The activation of the endocannabinoid receptors demonstrated a neuroprotective response during excitotoxicity, meditated by NOX-2. The reduction in ROS production led to a decrease in neuroinflammation, and AQP4 expression, resulting in reduced edema formation, and BBB permeability.

CONCLUSIONS

During excitotoxic damage, WIN55,212-2 inhibits NOX-2-induced ROS production, reducing brain injury.

摘要

背景

兴奋性毒性是一种过程,其中 NADPH 氧化酶-2(NOX-2)在活性氧(ROS)的产生中起着关键作用。氧化应激会影响水通道蛋白 4(AQP4)的表达,AQP4 与血脑屏障(BBB)通透性和水肿形成有关。内源性大麻素系统广泛分布于大脑中,特别是通过大麻素受体 1(CB1)和 2(CB2),这两种受体已被证明在脑损伤中有神经保护作用。鉴于 NOX-2 在兴奋性毒性期间产生 ROS 的重要作用,我们的研究旨在使用体内模型评估 NOX-2 在大麻素受体激动剂 WIN55,212-2 对谷氨酸诱导的纹状体兴奋性毒性损伤的神经保护作用中的参与。

方法

使用野生型(C57BL/6)和 NOX-2 KO(gp91)小鼠立体定向纹状体内注射谷氨酸或载体。随后,一组小鼠在脑内注射后给予腹腔内剂量的 WIN55,212-2、AM251 或 AM251/WIN55,212-2。通过考马斯亮蓝染色评估运动活动,通过组织学切片检查损伤。此外,还进行了脑水含量和 Evans 蓝测定。通过 DHE 测定来量化 NOX 的活性,并使用 Western blot 分析 CB1、gp91、AQP4、Iba-1、TNF-α 和 NF-κB 的蛋白表达。

结果

内源性大麻素受体的激活在兴奋性毒性中表现出神经保护反应,由 NOX-2 介导。ROS 产生的减少导致神经炎症和 AQP4 表达减少,从而减少水肿形成和 BBB 通透性。

结论

在兴奋性损伤期间,WIN55,212-2 抑制 NOX-2 诱导的 ROS 产生,从而减少脑损伤。

https://cdn.ncbi.nlm.nih.gov/pmc/blobs/d531/11534500/00fb879d4f77/CNS-30-e70099-g007.jpg

文献AI研究员

20分钟写一篇综述,助力文献阅读效率提升50倍。

立即体验

用中文搜PubMed

大模型驱动的PubMed中文搜索引擎

马上搜索

文档翻译

学术文献翻译模型,支持多种主流文档格式。

立即体验