Suppr超能文献

丁香和百里香精油的化学成分及其对[具体菌种]及其他细菌生长抑制和生物膜形成的抗菌作用

Chemical Composition and Antibacterial Effect of Clove and Thyme Essential Oils on Growth Inhibition and Biofilm Formation of spp. and Other Bacteria.

作者信息

Hofmeisterová Leona, Bajer Tomáš, Walczak Maciej, Šilha David

机构信息

Department of Biological and Biochemical Sciences, Faculty of Chemical Technology, University of Pardubice, Studentská 573, 532 10 Pardubice, Czech Republic.

Department of Analytical Chemistry, Faculty of Chemical Technology, University of Pardubice, Studentská 573, 532 10 Pardubice, Czech Republic.

出版信息

Antibiotics (Basel). 2024 Dec 20;13(12):1232. doi: 10.3390/antibiotics13121232.

Abstract

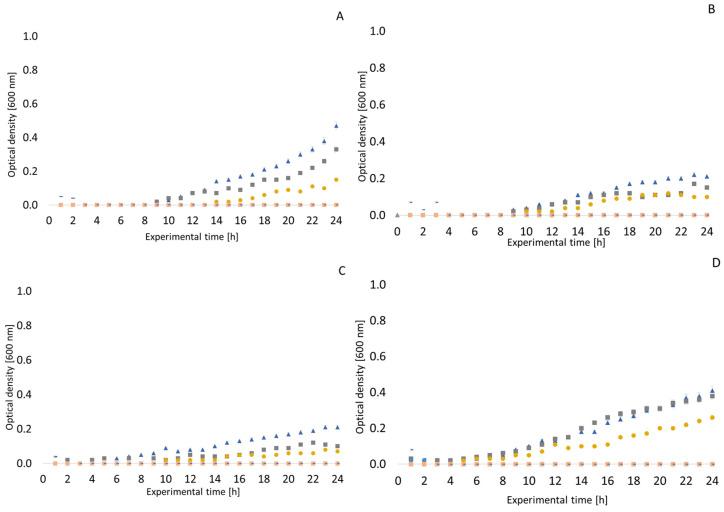
In recent years, significant resistance of microorganisms to antibiotics has been observed. A biofilm is a structure that significantly aids the survival of the microbial population and also significantly affects its resistance. Thyme and clove essential oils (EOs) were subjected to chemical analysis using gas chromatography coupled to mass spectrometry (GC-MS) and gas chromatography with a flame ionization detector (GC-FID). Furthermore, the antimicrobial effect of these EOs was tested in both the liquid and vapor phases using the volatilization method. The effect of the EOs on growth parameters was monitored using an RTS-8 bioreactor. However, the effect of the EOs on the biofilm formation of commonly occurring bacteria with pathogenic potential was also monitored, but for less described and yet clinically important strains of spp. In total, 37 and 28 compounds were identified in the thyme and clove EO samples, respectively. The most common were terpenes and also derivatives of phenolic substances. Both EOs exhibited antimicrobial activity in the liquid and/or vapor phase against at least some strains. The determined antimicrobial activity of thyme and clove oil was in the range of 32-1024 µg/mL in the liquid phase and 512-1024 µg/mL in the vapor phase, respectively. The results of the antimicrobial effect are also supported by similar conclusions from monitoring growth curves using the RTS bioreactor. The effect of EOs on biofilm formation differed between strains. Biofilm formation of was completely suppressed in an environment with a thyme EO concentration of 1024 µg/mL. On the other hand, increased biofilm formation was found, e.g., in an environment of low concentration (1-32 µg/mL). The potential of using natural matrices as antimicrobials or preservatives is evident. The effect of these EOs on biofilm formation, especially strains, is described for the first time.

摘要

近年来,已观察到微生物对抗生素产生显著耐药性。生物膜是一种能显著帮助微生物群体存活且对其耐药性有重大影响的结构。采用气相色谱 - 质谱联用(GC - MS)和带有火焰离子化检测器的气相色谱(GC - FID)对百里香和丁香精油(EOs)进行化学分析。此外,使用挥发法在液相和气相中测试了这些精油的抗菌效果。使用RTS - 8生物反应器监测精油对生长参数的影响。然而,也监测了精油对具有致病潜力的常见细菌生物膜形成的影响,但针对描述较少但临床上重要的菌株。总共在百里香和丁香精油样品中分别鉴定出37种和28种化合物。最常见的是萜类以及酚类物质的衍生物。两种精油在液相和/或气相中对至少一些菌株都表现出抗菌活性。所测定的百里香和丁香油的抗菌活性在液相中为32 - 1024μg/mL,在气相中为512 - 1024μg/mL。抗菌效果的结果也得到了使用RTS生物反应器监测生长曲线得出的类似结论的支持。精油对生物膜形成的影响因菌株而异。在百里香精油浓度为1024μg/mL的环境中,生物膜的形成被完全抑制。另一方面,例如在低浓度(1 - 32μg/mL)环境中发现生物膜形成增加。使用天然基质作为抗菌剂或防腐剂的潜力是显而易见的。这些精油对生物膜形成的影响,特别是对菌株的影响,首次被描述。

https://cdn.ncbi.nlm.nih.gov/pmc/blobs/9fc0/11672449/8a58a9992112/antibiotics-13-01232-g001.jpg

文献AI研究员

20分钟写一篇综述,助力文献阅读效率提升50倍。

立即体验

用中文搜PubMed

大模型驱动的PubMed中文搜索引擎

马上搜索

文档翻译

学术文献翻译模型,支持多种主流文档格式。

立即体验