Suppr超能文献

─ 一个用户友好的命令行工具,简化定量蛋白质组学中的差异表达分析。

─ A User-Friendly Command-Line Tool Simplifying Differential Expression Analysis in Quantitative Proteomics.

作者信息

Wolski Witold E, Grossmann Jonas, Schwarz Leonardo, Leary Peter, Türker Can, Nanni Paolo, Schlapbach Ralph, Panse Christian

机构信息

Functional Genomics Center Zurich (FGCZ) - University of Zurich/ETH Zurich, Winterthurerstrasse 190, CH-8057 Zurich, Switzerland.

Swiss Institute of Bioinformatics (SIB) Quartier Sorge - Batiment Amphipole, 1015 Lausanne, Switzerland.

出版信息

J Proteome Res. 2025 Feb 7;24(2):955-965. doi: 10.1021/acs.jproteome.4c00911. Epub 2025 Jan 23.

Abstract

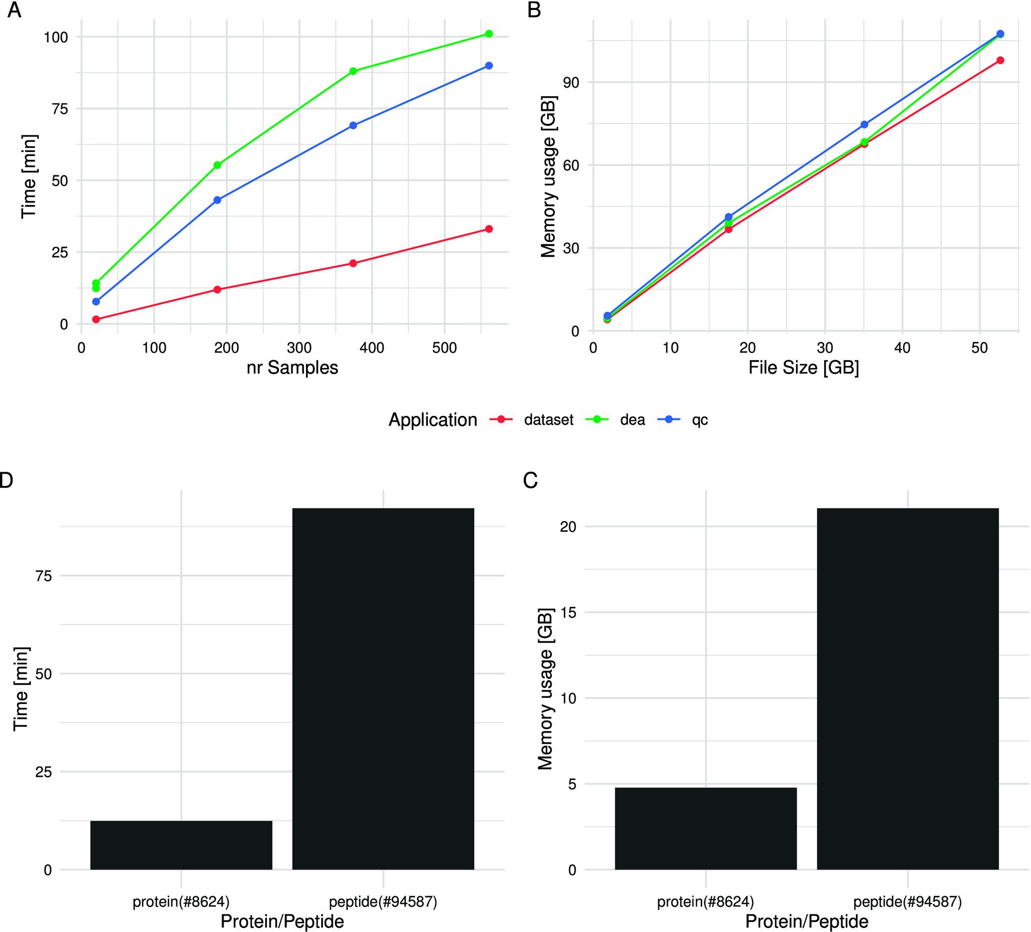
Mass spectrometry is a cornerstone of quantitative proteomics, enabling relative protein quantification and differential expression analysis () of proteins. As experiments grow in complexity, involving more samples, groups, and identified proteins, interactive differential expression analysis tools become impractical. The addresses this challenge by providing a command-line interface that simplifies , making it accessible to nonprogrammers and seamlessly integrating it into workflow management systems. streamlines data processing and result visualization by generating dynamic HTML reports that facilitate the exploration of differential expression results. These reports allow for investigating complex experiments, such as those involving repeated measurements or multiple explanatory variables. Additionally, supports various output formats, including XLSX files, objects and rank files, for further interactive analysis using spreadsheet software, the Shiny application, or gene set enrichment analysis software, respectively. By leveraging advanced statistical models from the R package, offers a user-friendly, integrated solution for large-scale quantitative proteomics studies, combining efficient data processing with insightful, publication-ready outputs.

摘要

质谱分析是定量蛋白质组学的基石,能够对蛋白质进行相对定量和差异表达分析。随着实验复杂度的增加,涉及更多样本、分组和已鉴定蛋白质,交互式差异表达分析工具变得不切实际。[工具名称]通过提供命令行界面来应对这一挑战,该界面简化了[相关操作],使非程序员也能使用,并能无缝集成到工作流程管理系统中。[工具名称]通过生成动态HTML报告来简化数据处理和结果可视化,便于探索差异表达结果。这些报告有助于研究复杂实验,例如涉及重复测量或多个解释变量的实验。此外,[工具名称]支持多种输出格式,包括XLSX文件、[具体对象]和排名文件,分别用于使用电子表格软件、[具体Shiny应用]或基因集富集分析软件进行进一步的交互式分析。通过利用R包中的先进统计模型,[工具名称]为大规模定量蛋白质组学研究提供了一个用户友好的集成解决方案,将高效的数据处理与有见地的、可用于发表的输出相结合。

https://cdn.ncbi.nlm.nih.gov/pmc/blobs/1dc1/11812002/687cb047c49c/pr4c00911_0001.jpg

文献AI研究员

20分钟写一篇综述,助力文献阅读效率提升50倍。

立即体验

用中文搜PubMed

大模型驱动的PubMed中文搜索引擎

马上搜索

文档翻译

学术文献翻译模型,支持多种主流文档格式。

立即体验