Suppr超能文献

尼塞韦单抗对呼吸道合胞病毒的估计有效性

Estimated Effectiveness of Nirsevimab Against Respiratory Syncytial Virus.

作者信息

Xu Hanmeng, Aparicio Camila, Wats Aanchal, Araujo Barbara L, Pitzer Virginia E, Warren Joshua L, Shapiro Eugene D, Niccolai Linda M, Weinberger Daniel M, Oliveira Carlos R

机构信息

Department of Epidemiology of Microbial Diseases, Yale School of Public Health, New Haven, Connecticut.

Department of Pediatrics, Section of Infectious Diseases and Global Health, Yale School of Medicine, New Haven, Connecticut.

出版信息

JAMA Netw Open. 2025 Mar 3;8(3):e250380. doi: 10.1001/jamanetworkopen.2025.0380.

Abstract

IMPORTANCE

Nirsevimab, a long-acting monoclonal antibody, demonstrated efficacy against respiratory syncytial virus (RSV)-associated lower respiratory tract infections (LRTI) in clinical trials. Postlicensure monitoring is essential to confirm these benefits in clinical settings.

OBJECTIVE

To estimate the effectiveness of nirsevimab against medically attended RSV infections in infants and to assess how effectiveness varies by disease severity, dosage, and time since immunization.

DESIGN, SETTING, AND PARTICIPANTS: This test-negative case-control study utilized inpatient, outpatient, and emergency department data from the Yale New Haven Health System. Nirsevimab-eligible infants who were tested for RSV using polymerase chain reaction between October 1, 2023, and May 9, 2024, were included. Infants with RSV-positive results were cases and infants with RSV-negative results were controls.

EXPOSURE

Nirsevimab immunization, verified through state immunization registries.

MAIN OUTCOMES AND MEASURES

Effectiveness was estimated using multivariable logistic regression, adjusting for age, calendar month, and potential confounders. Separate models examined estimated effectiveness by clinical setting, dosage, time since immunization, and severity (defined as needing high-flow oxygen or intensive care unit admission). Broader outcomes were also analyzed, including all-cause LRTI and all-cause LRTI-associated hospitalization.

RESULTS

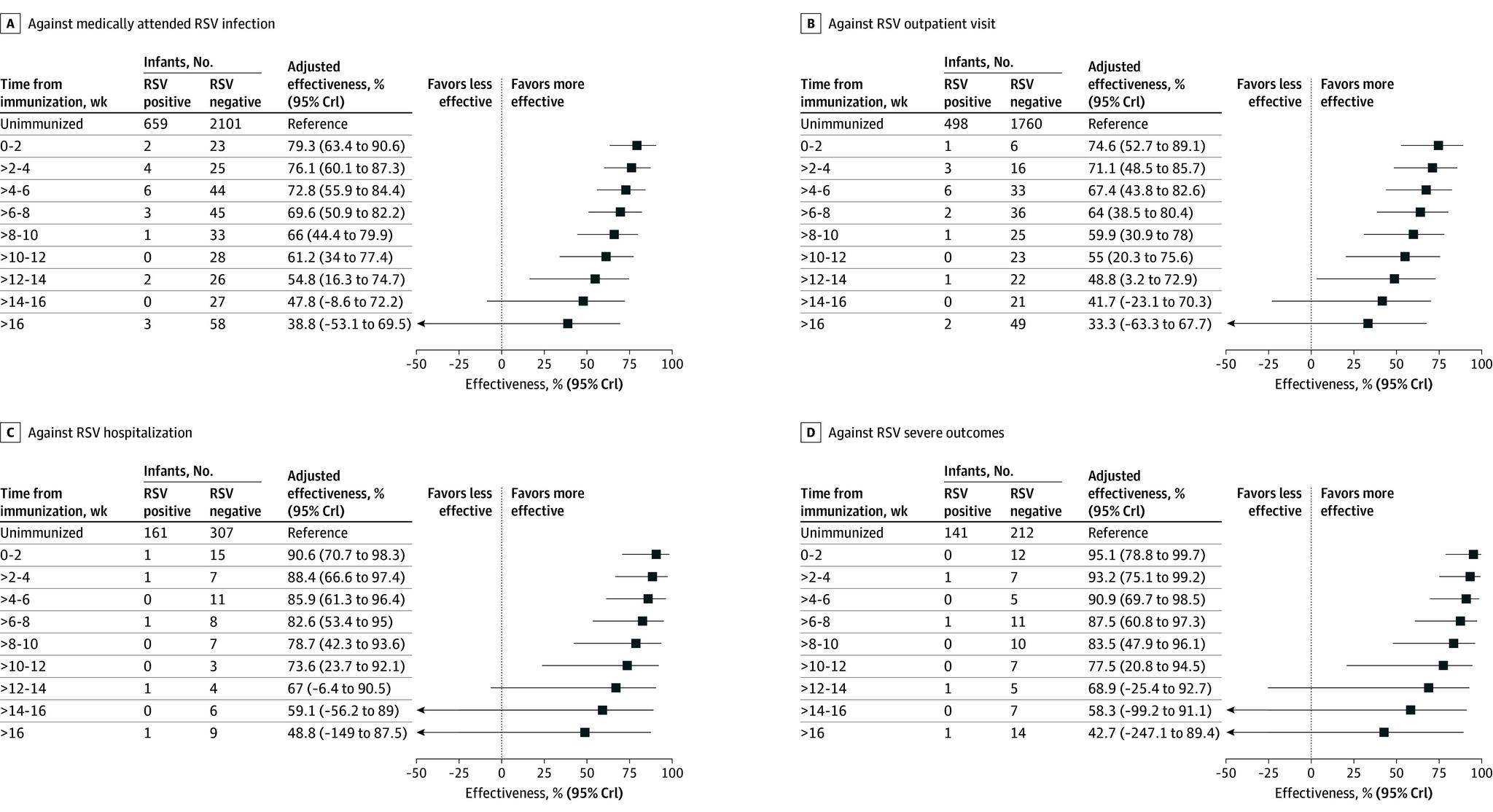
The analytic sample included 3090 infants (1722 male [57.3%]; median [IQR] age at testing, 6.7 [3.6-9.7] months), with 680 (22.0%) RSV-positive cases and 2410 (78.0%) RSV-negative controls. Nirsevimab uptake was 10.7% (330 patients), with 21 RSV-positive cases and 309 RSV-negative controls immunized. Adjusted effectiveness was 68.4% (95% CI, 50.3%-80.8%) against medically attended RSV infection, 61.6% (95% CI, 35.6%-78.6%) against outpatient visits, and 80.5% (95% CI, 52.0%-93.5%) against hospitalizations. The highest estimated effectiveness (84.6%; 95% CI, 58.7%-95.6%) was observed against severe RSV disease. Although estimated effectiveness against RSV infections declined from 79.3% (95% CI, 63.4%-90.6%) at 2 weeks postimmunization to 54.8% (95% CI, 16.3%-74.7%) at 14 weeks postimmunization, it remained significant. Estimated effectiveness did not vary substantially by dosage. During peak RSV season, nirsevimab appeared effective against all-cause LRTI (49.4%; 95% CI, 10.7%-72.9%) and all-cause LRTI-associated hospitalizations (79.1%; 95% CI, 27.6%-94.9%). From February to May 2024, when most LRTIs were caused by other viruses, its estimated effectiveness against these broader outcomes was negligible.

CONCLUSIONS AND RELEVANCE

In this case-control study, nirsevimab provided substantial protection against RSV-associated outcomes. These findings support its continued use and provide evidence that may help boost public confidence in the immunization program.

摘要

重要性

长效单克隆抗体尼塞韦单抗在临床试验中显示出对呼吸道合胞病毒(RSV)相关下呼吸道感染(LRTI)有效。上市后监测对于在临床环境中确认这些益处至关重要。

目的

评估尼塞韦单抗对婴儿就医的RSV感染的有效性,并评估有效性如何因疾病严重程度、剂量和免疫接种后的时间而有所不同。

设计、设置和参与者:这项检测阴性病例对照研究利用了耶鲁纽黑文医疗系统的住院、门诊和急诊科数据。纳入了在2023年10月1日至2024年5月9日期间使用聚合酶链反应检测RSV的符合尼塞韦单抗接种条件的婴儿。RSV检测结果呈阳性的婴儿为病例,RSV检测结果呈阴性的婴儿为对照。

暴露因素

通过州免疫登记处核实的尼塞韦单抗免疫接种情况。

主要结局和测量指标

使用多变量逻辑回归估计有效性,并对年龄、日历月和潜在混杂因素进行调整。单独的模型按临床环境、剂量、免疫接种后的时间和严重程度(定义为需要高流量氧气或入住重症监护病房)检查估计的有效性。还分析了更广泛的结局,包括全因LRTI和全因LRTI相关住院。

结果

分析样本包括3090名婴儿(1722名男性[57.3%];检测时的中位[四分位间距]年龄为6.7[3.6 - 9.7]个月),其中680例(22.0%)RSV检测呈阳性,2410例(78.0%)RSV检测呈阴性。尼塞韦单抗的接种率为10.7%(330例患者),其中21例RSV检测呈阳性的病例和309例RSV检测呈阴性的对照接受了免疫接种。针对就医的RSV感染,调整后的有效性为68.4%(95%置信区间,50.3% - 80.8%);针对门诊就诊,有效性为61.6%(95%置信区间,35.6% - 78.6%);针对住院治疗,有效性为80.5%(95%置信区间,52.0% - 93.5%)。针对严重RSV疾病观察到的估计有效性最高(84.6%;95%置信区间,58.7% - 95.6%)。尽管针对RSV感染的估计有效性从免疫接种后2周时的79.3%(95%置信区间,63.4% - 90.6%)下降到免疫接种后14周时的54.8%(95%置信区间,16.3% - 74.7%),但仍具有显著性。估计有效性在不同剂量之间没有显著差异。在RSV感染高峰期,尼塞韦单抗似乎对全因LRTI(49.4%;95%置信区间,10.7% - 72.9%)和全因LRTI相关住院(79.1%;95%置信区间,27.6% - 94.9%)有效。在2024年2月至5月期间,当大多数LRTI由其他病毒引起时,其针对这些更广泛结局的估计有效性可忽略不计。

结论和相关性

在这项病例对照研究中,尼塞韦单抗为RSV相关结局提供了实质性保护。这些发现支持其继续使用,并提供了可能有助于增强公众对免疫接种计划信心的证据。

https://cdn.ncbi.nlm.nih.gov/pmc/blobs/2906/11894488/847ee26ef315/jamanetwopen-e250380-g001.jpg

文献AI研究员

20分钟写一篇综述,助力文献阅读效率提升50倍。

立即体验

用中文搜PubMed

大模型驱动的PubMed中文搜索引擎

马上搜索

文档翻译

学术文献翻译模型,支持多种主流文档格式。

立即体验