Suppr超能文献

一种强大且有力的用于三联体家庭的全基因组关联研究方法,支持家系内孟德尔随机化分析。

A robust and powerful GWAS method for family trios supporting within-family Mendelian randomization analysis.

作者信息

Zhang Shun, Chen Hao-Wen, Mai Jia-Hao, Zhu Qiu-Wen, Li Yuan-Sheng, Wu Xian-Bo, Zhou Ji-Yuan

机构信息

Southern Medical University.

出版信息

Res Sq. 2025 Mar 6:rs.3.rs-6163190. doi: 10.21203/rs.3.rs-6163190/v1.

Abstract

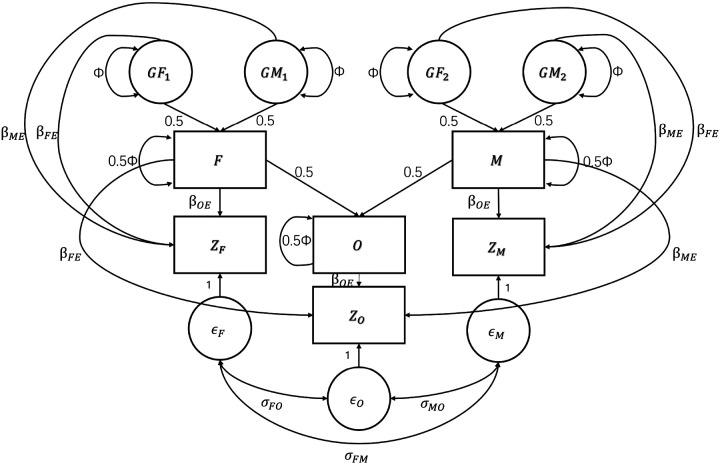
Effect size estimates in genome-wide association studies (GWAS) and Mendelian randomization (MR) studies for independent individuals may be biased due to dynastic effect (DE) and residual population stratification (RPS). Existing GWAS methods for family trios effectively controlled such biases, while only using parental and offspring's genotypes and offspring's phenotype, and not incorporating parental phenotypes, which causes loss in estimation accuracy and test power. Therefore, we proposed a novel GWAS method based on structural equation modelling for family trios, denoted by FT-SEM. FT-SEM simultaneously uses parental and offspring's genotypes and phenotypes. Simulation results demonstrate that FT-SEM substantially improves estimation accuracy and test power while controlling bias and type I error rate. Using family trios from Minnesota Center for Twin and Family Research (MCTFR), we found that DE and RPS greatly distort the results only based on independent individuals, and FT-SEM effectively corrects such biases. Combining the GWAS results from MCTFR with existing summary data, we performed several two-sample MR analyses. We observed that the effects of BMI on nicotine, alcohol consumption and behavior disorder were due to bias rather than causality. Our findings underscore the necessity of using families to validate the results of GWAS and MR, and highlight FT-SEM's advantages.

摘要

在全基因组关联研究(GWAS)和孟德尔随机化(MR)研究中,针对独立个体的效应大小估计可能会因王朝效应(DE)和残余群体分层(RPS)而产生偏差。现有的针对三联体家庭的GWAS方法有效地控制了此类偏差,但其仅使用父母和后代的基因型以及后代的表型,而未纳入父母的表型,这导致估计准确性和检验效能的损失。因此,我们提出了一种基于结构方程模型的针对三联体家庭的新型GWAS方法,称为FT-SEM。FT-SEM同时使用父母和后代的基因型及表型。模拟结果表明,FT-SEM在控制偏差和I型错误率的同时,显著提高了估计准确性和检验效能。利用来自明尼苏达双胞胎与家庭研究中心(MCTFR)的三联体家庭,我们发现DE和RPS仅基于独立个体时会极大地扭曲结果,而FT-SEM有效地纠正了此类偏差。将MCTFR的GWAS结果与现有的汇总数据相结合,我们进行了几项两样本MR分析。我们观察到,BMI对尼古丁、酒精消费和行为障碍的影响是由于偏差而非因果关系。我们的研究结果强调了利用家庭来验证GWAS和MR结果的必要性,并突出了FT-SEM的优势。

https://cdn.ncbi.nlm.nih.gov/pmc/blobs/2996/11908354/923fdc584830/nihpp-rs6163190v1-f0001.jpg

文献AI研究员

20分钟写一篇综述,助力文献阅读效率提升50倍。

立即体验

用中文搜PubMed

大模型驱动的PubMed中文搜索引擎

马上搜索

文档翻译

学术文献翻译模型,支持多种主流文档格式。

立即体验