Suppr超能文献

超重/肥胖与消化系统癌症的关联:一项前瞻性队列研究的荟萃分析和试验序贯分析

Association of overweight/obesity and digestive system cancers: A meta-analysis and trial sequential analysis of prospective cohort studies.

作者信息

Ren Ji, Tang Chunyan, Wang Jinghe, Wang Yanan, Yang Dongying, Sheng Jianming, Zhu Shili, Liu Yunli, Li Xiaoqi, Liu Wei

机构信息

Department of Medicine and Health, Dezhou University, Dezhou, China.

Department of Nursing, Dezhou Municipal Hospital (Dezhou University Affiliated Hospital), Dezhou, China.

出版信息

PLoS One. 2025 Apr 1;20(4):e0318256. doi: 10.1371/journal.pone.0318256. eCollection 2025.

Abstract

BACKGROUND

Previous researches have reported correlations between overweight/obesity and common digestive system cancers (DSCs), including gastric, liver, esophageal, colorectal, and pancreatic cancers. However, the inconsistency in defining overweight/obesity and the risk of recall bias from case-control and retrospective cohort studies may influence existing results. Therefore, we aimed to validate the relationship between overweight/obesity and common DSCs by combining prospective cohort studies based on the World Health Organization (WHO) criteria for defining overweight/obesity.

METHODS

A comprehensive literature search was conducted across PubMed, Embase, Web of Science, and Cochrane databases, covering all publications up to February 7, 2024. The inclusion criteria focused on prospective cohort studies that examined the link between overweight/obesity and risks of DSCs. R software 4.1.3 and STATA 12 were utilised to calculate the relative risk (RR), with 95% confidence interval (CI) and prediction interval (PI). TSA v0.9.5.10 Beta software was used for trial sequential analysis (TSA).

RESULTS

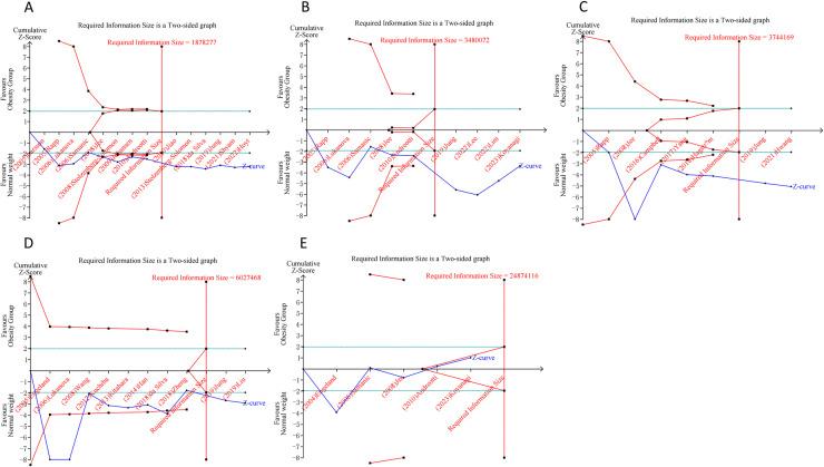
The meta-analysis encompassed 39 articles. The overall analysis showed that compared with normal weight, overweight/obesity increased the risks of liver cancer (overweight: RR [95% CI] =  1.237 [1.112-1.377]; 95% PI: 0.888-1.725; obesity: RR [95% CI] =  1.642 [1.466-1.839]; 95% PI: 1.143-2.358) and colorectal cancer (overweight: RR [95% CI] =  1.124 [1.056-1.197]; 95% PI: 0.931-1.357; obesity: RR [95% CI] =  1.366 [1.242-1.503]; 95% PI: 0.959-1.945) in the total population. Subgroup analysis revealed that overweight (RR [95% CI] =  1.237 [1.165-1.314]; 95% PI: 1.154-1.327) and obesity (RR [95% CI] =  1.306 [1.152-1.480]; 95% PI: 1.108-1.539) were associated with an increased risk of pancreatic cancer only in women, and overweight also increased the gastric cancer risk of women (RR [95% CI] =  1.041 [1.013-1.070], 95% PI: 0.806-1.230). No significant association of overweight/obesity and esophageal cancer was observed in both male and female.

CONCLUSION

Our study suggested that overweight/obesity elevated the risks of liver and colorectal cancer in both men and women. No significant association was found between overweight/obesity and the risk of developing esophageal cancer. Clinicians are advised to consider weight control as an effective measure for preventing pancreatic, liver, and colorectal cancers.

摘要

背景

先前的研究报告了超重/肥胖与常见消化系统癌症(DSCs)之间的相关性,包括胃癌、肝癌、食管癌、结直肠癌和胰腺癌。然而,超重/肥胖定义的不一致以及病例对照研究和回顾性队列研究中回忆偏倚的风险可能会影响现有结果。因此,我们旨在通过结合基于世界卫生组织(WHO)超重/肥胖定义标准的前瞻性队列研究,验证超重/肥胖与常见DSCs之间的关系。

方法

在PubMed、Embase、Web of Science和Cochrane数据库中进行了全面的文献检索,涵盖截至2024年2月7日的所有出版物。纳入标准集中在前瞻性队列研究,这些研究探讨了超重/肥胖与DSCs风险之间的联系。使用R软件4.1.3和STATA 12计算相对风险(RR),并给出95%置信区间(CI)和预测区间(PI)。使用TSA v0.9.5.10 Beta软件进行试验序贯分析(TSA)。

结果

荟萃分析纳入了39篇文章。总体分析表明,与正常体重相比,超重/肥胖增加了总体人群中患肝癌(超重:RR [95% CI] = 1.237 [1.112 - 1.377];95% PI:0.888 - 1.725;肥胖:RR [95% CI] = 1.642 [1.466 - 1.839];95% PI:1.143 - 2.358)和结直肠癌(超重:RR [95% CI] = 1.124 [1.056 - 1.197];95% PI:0.931 - 1.357;肥胖:RR [95% CI] = 1.366 [1.242 - 1.503];95% PI:0.959 - 1.945)的风险。亚组分析显示,超重(RR [95% CI] = 1.237 [1.165 - 1.314];95% PI:1.154 - 1.327)和肥胖(RR [95% CI] = 1.306 [1.152 - 1.480];95% PI:1.108 - 1.539)仅在女性中与胰腺癌风险增加相关,超重也增加了女性患胃癌的风险(RR [95% CI] = 1.041 [1.013 - 1.070],95% PI:0.806 - 1.230)。在男性和女性中均未观察到超重/肥胖与食管癌之间存在显著关联。

结论

我们的研究表明,超重/肥胖增加了男性和女性患肝癌和结直肠癌的风险。未发现超重/肥胖与患食管癌风险之间存在显著关联。建议临床医生将控制体重视为预防胰腺癌、肝癌和结直肠癌的有效措施。

https://cdn.ncbi.nlm.nih.gov/pmc/blobs/1444/11960891/b5e7c14fe771/pone.0318256.g001.jpg

文献AI研究员

20分钟写一篇综述,助力文献阅读效率提升50倍。

立即体验

用中文搜PubMed

大模型驱动的PubMed中文搜索引擎

马上搜索

文档翻译

学术文献翻译模型,支持多种主流文档格式。

立即体验