Suppr超能文献

通过聚合物共混提高聚乳酸的柔韧性和亲水性:静电纺丝与溶液浇铸法

Enhancing the Flexibility and Hydrophilicity of PLA via Polymer Blends: Electrospinning vs. Solvent Casting.

作者信息

Weng Qi-Hong, Hu Ming-Hsien, Wang Ji-Feng, Hu Jin-Jia

机构信息

Department of Mechanical Engineering, National Yang Ming Chiao Tung University, Hsinchu 300, Taiwan.

Department of Post-Baccalaureate Medicine, National Chung Hsing University, Taichung 402, Taiwan.

出版信息

Polymers (Basel). 2025 Mar 18;17(6):800. doi: 10.3390/polym17060800.

Abstract

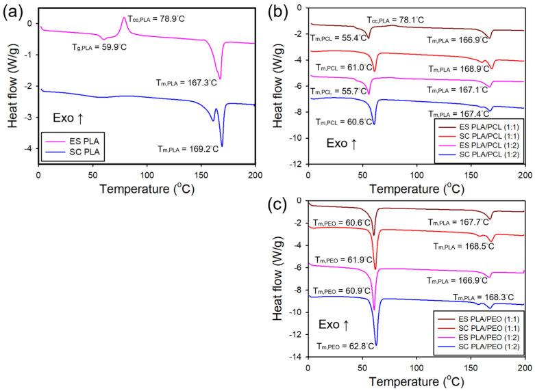
Polylactic acid (PLA) is a biodegradable polymer with high tensile strength, high stiffness, and biocompatibility, but its brittleness and hydrophobicity limit its applications. This study aims to address these limitations by blending PLA with polycaprolactone (PCL) to enhance flexibility and with polyethylene oxide (PEO) to improve hydrophilicity. Unlike conventional approaches where PEO serves as a plasticizer, this study investigated PEO as a major blend component. Electrospinning and solvent casting, which differ in their solvent evaporation rates, were employed to fabricate thin films of neat PLA and PLA blends to examine their influence on mechanical and surface properties. Polymer solutions were prepared using a dichloromethane (DCM)/dimethylformamide (DMF) mixture known to enhance the electrospinning process. Fourier transform infrared spectroscopy (FTIR), X-ray diffraction (XRD), and differential scanning calorimetry (DSC) were used to investigate crystallinity of polymers and their interactions, while scanning electron microscopy (SEM) and atomic force microscopy (AFM) provided insights into phase separation and fiber morphology. Uniaxial tensile testing and water contact angle measurements were conducted to evaluate mechanical properties and surface properties, respectively. The results showed that electrospun PLA films exhibited higher elongation at break and ultimate strength but lower Young's modulus than solvent-cast PLA films. Electrospun films of PLA/PCL blends demonstrated improved elongation at break while retaining Young's modulus comparable to that of electrospun PLA films, unlike their solvent-cast counterparts. In contrast, PLA/PEO blends exhibited enhanced hydrophilicity in both processing methods but showed a marked reduction in mechanical properties. In summary, electrospun films consistently outperformed solvent-cast films in terms of flexibility and mechanical integrity, primarily due to their fibrous structure, suppressed phase separation, and reduced crystallinity. This study uniquely demonstrates that electrospinning enables the fabrication of phase-separated PLA/PEO blends with mechanical integrity despite PEO's inherent immiscibility with PLA and incompatibility in the solvent mixture. Furthermore, electrospinning proves to be an effective processing method for producing PLA blend films with enhanced flexibility and hydrophilicity without the need for plasticizers or compatibilizers.

摘要

聚乳酸(PLA)是一种具有高拉伸强度、高刚度和生物相容性的可生物降解聚合物,但其脆性和疏水性限制了其应用。本研究旨在通过将PLA与聚己内酯(PCL)共混以提高柔韧性,以及与聚环氧乙烷(PEO)共混以改善亲水性来解决这些限制。与传统方法中PEO用作增塑剂不同,本研究将PEO作为主要共混组分进行研究。采用溶剂蒸发速率不同的静电纺丝和溶液浇铸法制备纯PLA及其共混物的薄膜,以考察它们对机械性能和表面性能的影响。使用已知可增强静电纺丝过程的二氯甲烷(DCM)/二甲基甲酰胺(DMF)混合物制备聚合物溶液。利用傅里叶变换红外光谱(FTIR)、X射线衍射(XRD)和差示扫描量热法(DSC)研究聚合物的结晶度及其相互作用,同时扫描电子显微镜(SEM)和原子力显微镜(AFM)提供了相分离和纤维形态的相关信息。分别进行单轴拉伸试验和水接触角测量以评估机械性能和表面性能。结果表明,静电纺丝PLA薄膜的断裂伸长率和极限强度较高,但杨氏模量低于溶液浇铸PLA薄膜。与溶液浇铸的PLA/PCL共混物薄膜不同,静电纺丝的PLA/PCL共混物薄膜的断裂伸长率有所提高,同时保持了与静电纺丝PLA薄膜相当的杨氏模量。相比之下,PLA/PEO共混物在两种加工方法中均表现出增强的亲水性,但机械性能显著降低。总之,静电纺丝薄膜在柔韧性和机械完整性方面始终优于溶液浇铸薄膜,这主要归因于其纤维结构、抑制的相分离和降低的结晶度。本研究独特地证明,尽管PEO与PLA固有不相容且在溶剂混合物中不相容,但静电纺丝能够制备出具有机械完整性的相分离PLA/PEO共混物。此外,静电纺丝被证明是一种有效的加工方法,无需增塑剂或相容剂即可生产具有增强柔韧性和亲水性的PLA共混薄膜。

https://cdn.ncbi.nlm.nih.gov/pmc/blobs/f89b/11945453/b4136b3f5c2c/polymers-17-00800-g001.jpg

文献AI研究员

20分钟写一篇综述,助力文献阅读效率提升50倍。

立即体验

用中文搜PubMed

大模型驱动的PubMed中文搜索引擎

马上搜索

文档翻译

学术文献翻译模型,支持多种主流文档格式。

立即体验