Suppr超能文献

短链脂肪酸(SCFAs)通过游离脂肪酸受体(FFAR)/腺苷酸活化蛋白激酶(AMPK)信号通路在体外调节肝脏葡萄糖和脂质代谢。

Short-Chain Fatty Acids (SCFAs) Modulate the Hepatic Glucose and Lipid Metabolism of via the FFAR/AMPK Signaling Pathway In Vitro.

作者信息

Gao Jun, Mang Qi, Sun Yi, Xu Gangchun

机构信息

Freshwater Fisheries Research Center, Chinese Academy of Fishery Sciences, Wuxi 214081, China.

Wuxi Fisheries College, Nanjing Agriculture University, Wuxi 214081, China.

出版信息

Int J Mol Sci. 2025 Apr 12;26(8):3654. doi: 10.3390/ijms26083654.

Abstract

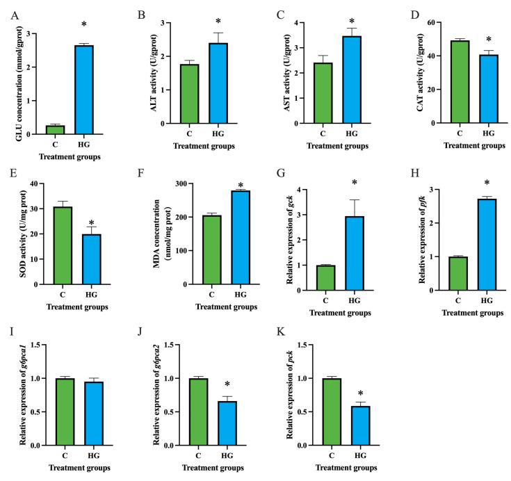
The expansion of intensive aquaculture has heightened metabolic dysregulation in fish caused by high-glucose and high-lipid (HG-HL) diets, contributing to growth retardation and hepatic pathologies. Using hepatocytes, this study investigated the regulatory effects of short-chain fatty acids (SCFAs) on glucose-lipid metabolism. In vitro HG-HL exposure elevated intracellular glucose, triglycerides (TG), and cholesterol; suppressed catalase (CAT) and superoxide dismutase (SOD); and dysregulated metabolic genes (upregulated and ; downregulated and ). Co-treatment with acetate and propionate reversed these anomalies, reducing TG and cholesterol, restoring antioxidant capacity (SOD and CAT), and normalizing gene expression patterns. Molecular docking suggested potential binding interactions between SCFAs and free fatty acid receptor (FFAR2/3). This study provided initial evidence suggesting SCFAs might attenuate HG-HL-induced metabolic stress in a teleost model, potentially involving FFAR-related pathways and AMPK-associated responses. The findings contribute to understanding SCFA-mediated metabolic regulation in fish, offering preliminary support for developing dietary interventions to manage aquacultural metabolic syndromes.

摘要

集约化水产养殖的扩张加剧了高糖高脂(HG-HL)饲料导致的鱼类代谢失调,进而导致生长迟缓及肝脏病变。本研究利用肝细胞,探究了短链脂肪酸(SCFAs)对糖脂代谢的调节作用。体外HG-HL暴露可提高细胞内葡萄糖、甘油三酯(TG)和胆固醇水平;抑制过氧化氢酶(CAT)和超氧化物歧化酶(SOD);并使代谢基因失调(上调 和 ;下调 和 )。乙酸盐和丙酸盐联合处理可逆转这些异常,降低TG和胆固醇水平,恢复抗氧化能力(SOD和CAT),并使基因表达模式正常化。分子对接表明SCFAs与游离脂肪酸受体(FFAR2/3)之间可能存在结合相互作用。本研究提供了初步证据,表明SCFAs可能减轻硬骨鱼模型中HG-HL诱导的代谢应激,这可能涉及FFAR相关途径和AMPK相关反应。这些发现有助于理解鱼类中SCFA介导的代谢调节,为开发饮食干预措施以管理水产养殖代谢综合征提供了初步支持。

https://cdn.ncbi.nlm.nih.gov/pmc/blobs/23da/12027798/606967fa13da/ijms-26-03654-g001.jpg

文献AI研究员

20分钟写一篇综述,助力文献阅读效率提升50倍。

立即体验

用中文搜PubMed

大模型驱动的PubMed中文搜索引擎

马上搜索

文档翻译

学术文献翻译模型,支持多种主流文档格式。

立即体验