Suppr超能文献

一种基于CT的影像组学模型,用于预测上皮性卵巢癌患者的无进展生存期。

A CT-based radiomics model for predicting progression-free survival in patients with epithelial ovarian cancer.

作者信息

Leng Yinping, Zhou Jingjing, Liu Wenjie, Luo Fengyuan, Peng Fei, Gong Lianggeng

机构信息

Department of Radiology, The Second Affiliated Hospital, Jiangxi Medical College, Nanchang University, Minde Road No. 1, Nanchang, Jiangxi Province, 330006, China.

Jiangxi Provincial Key Laboratory of Intelligent Medical Imaging, Nanchang, China.

出版信息

BMC Cancer. 2025 May 20;25(1):899. doi: 10.1186/s12885-025-14265-y.

Abstract

PURPOSE

This study aimed to develop and validate a CT-based radiomics nomogram for predicting the progression-free survival (PFS) of epithelial ovarian cancer (EOC).

MATERIALS AND METHODS

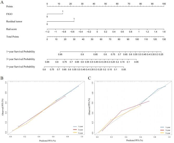
A total of 144 EOC patients were retrospectively enrolled from two hospitals and The Cancer Genome Atlas and The Cancer Imaging Archive, divided into a training set (n = 101) and a test set (n = 43) using a 7:3 ratio. Radiomic features were extracted from contrast enhanced CT images. The radiomics score (rad-score) was developed using the least absolute shrinkage and selection operator (LASSO) Cox regression. Clinical semantic features with P < 0.05 in multivariate Cox regression were combined with rad-score to develop radiomics nomogram. The predictive performance of the nomogram was assessed using the concordance index (C-index) and calibration curves.

RESULTS

Multivariate Cox regression analysis revealed that the International Federation of Obstetrics and Gynecology stage and residual tumor are significant predictors of PFS. Twelve radiomic features were selected by LASSO Cox regression. The combined model demonstrated superior predictive performance, with a C-index of 0.78 (95% CI: 0.689-0.889) in the training set, and 0.73 (95% CI: 0.572-0.886) in the test set. The combined model outperformed the clinical and radiomics models in predicting 1-, 3-, and 5-year PFS, with area under curves of 0.850 (95% CI: 0.722-0.943), 0.828 (95% CI: 0.722-0.901), and 0.845 (95% CI: 0.722-0.943), respectively. Calibration curves of the radiomic nomogram for prediction of 1-year, 3-year, 5-year PFS showed excellent calibrations in both training and test sets.

CONCLUSION

The combined model integrating rad-score and clinical semantic features effectively evaluates PFS in EOC patients. The radiomics nomogram provides a non-invasive, simple, and feasible method to predict PFS in EOC patients, which may facilitate clinical decision-making.

摘要

目的

本研究旨在开发并验证一种基于CT的影像组学列线图,用于预测上皮性卵巢癌(EOC)的无进展生存期(PFS)。

材料与方法

从两家医院以及癌症基因组图谱(The Cancer Genome Atlas)和癌症影像存档(The Cancer Imaging Archive)中回顾性纳入144例EOC患者,按照7:3的比例分为训练集(n = 101)和测试集(n = 43)。从增强CT图像中提取影像组学特征。使用最小绝对收缩和选择算子(LASSO)Cox回归生成影像组学评分(rad-score)。将多变量Cox回归中P < 0.05的临床语义特征与rad-score相结合,开发影像组学列线图。使用一致性指数(C-index)和校准曲线评估列线图的预测性能。

结果

多变量Cox回归分析显示,国际妇产科联合会分期和残留肿瘤是PFS的重要预测因素。LASSO Cox回归选择了12个影像组学特征。联合模型表现出卓越的预测性能,在训练集中C-index为0.78(95%CI:0.689 - 0.889),在测试集中为0.73(95%CI:0.572 - 0.886)。联合模型在预测1年、3年和5年PFS方面优于临床和影像组学模型,曲线下面积分别为0.850(95%CI:0.722 - 0.943)、0.828(95%CI:0.722 - 0.901)和0.845(95%CI:0.722 - 0.9

https://cdn.ncbi.nlm.nih.gov/pmc/blobs/38ce/12090431/b39f092edb98/12885_2025_14265_Fig1_HTML.jpg

文献AI研究员

20分钟写一篇综述,助力文献阅读效率提升50倍。

立即体验

用中文搜PubMed

大模型驱动的PubMed中文搜索引擎

马上搜索

文档翻译

学术文献翻译模型,支持多种主流文档格式。

立即体验