Suppr超能文献

新冠后遗症患者单核细胞中特定自主人内源性逆转录病毒基因座及周围宿主基因转录的扩增

Amplification of select autonomous HERV loci and surrounding host gene transcription in monocytes from patients with post-acute sequelae of COVID-19.

作者信息

Koo Hyunmin, Morrow Casey D

机构信息

Department of Genetics, Hugh Kaul Precision Medicine Institute, Heersink School of Medicine Immunology Institute, University of Alabama at Birmingham, Birmingham, AL, United States.

Department of Cell, Developmental and Integrative Biology, Hugh Kaul Precision Medicine Institute, Heersink School of Medicine Immunology Institute, University of Alabama at Birmingham, Birmingham, AL, United States.

出版信息

Front Immunol. 2025 Jun 26;16:1621657. doi: 10.3389/fimmu.2025.1621657. eCollection 2025.

Abstract

BACKGROUND

The human genome contains approximately 3,200 near full-length autonomous human endogenous retroviral (HERV) genomes distributed across the 23 chromosomes. These autonomous HERV proviral genomes include long terminal repeats (LTRs) capable of promoting RNA transcription. In quiescent cells, most HERV loci remain transcriptionally silent. However, environmental changes, such as epigenetic remodeling of chromatin, can activate these silenced loci.

METHODS

To study HERV reactivation, we previously analyzed autonomous HERV expression patterns in monocytes isolated from peripheral blood mononuclear cells (PBMCs) identified in single-cell RNA sequencing (scRNA-seq) databases using the Azimuth application. We developed a Window-based HERV Alignment (WHA) method, which analyzes aligned DNA sequences using sequential, non-overlapping windows of defined lengths. Samples were scored as positive (>= 9 good/usable windows) or negative (<= 8 good/usable windows).

RESULTS

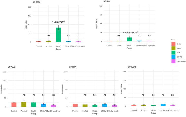
Using WHA, we established a control set from 31 normal individuals, with fewer than 8 windows at selected HERV loci. We analyzed scRNA-seq data from three studies of hospitalized COVID-19 patients and found distinct HERV expression patterns in monocytes. Unique patterns were also found in patients with influenza, Dengue virus, or sepsis. We next examined HERV expression at early (<7 days) and late (>14 days) timepoints post COVID-19 recovery and detected HERV loci in both groups. Analyzing 12 patients with post-acute sequelae of COVID-19 (PASC), we identified three HERV loci expressed in all patients. Some loci showed amplified numbers of good/usable windows, indicating longer transcripts and greater sequence depth. The most amplified locus was located within an intron of JAKMIP2, which, along with neighboring host genes, also showed increased transcription.

CONCLUSION

Previous studies have shown that viral infections, including COVID-19, influenza, and Dengue virus, as well as sepsis, can induce innate immune memory in monocytes through epigenetic remodeling of hematopoietic stem and myeloid precursor cells. The identification of co-amplified HERV loci and neighboring host gene transcripts in monocytes from PASC patients suggests expansion of epigenetically remodeled myeloid progenitors. The identification of these HERV-host gene patterns provides a foundation needed to understand the clinical features of patients with PASC.

摘要

背景

人类基因组包含约3200个近乎全长的自主人类内源性逆转录病毒(HERV)基因组,分布在23条染色体上。这些自主的HERV前病毒基因组包括能够促进RNA转录的长末端重复序列(LTR)。在静止细胞中,大多数HERV基因座保持转录沉默。然而,环境变化,如染色质的表观遗传重塑,可以激活这些沉默的基因座。

方法

为了研究HERV的重新激活,我们之前使用Azimuth应用程序分析了从单细胞RNA测序(scRNA-seq)数据库中鉴定的外周血单核细胞(PBMC)分离出的单核细胞中的自主HERV表达模式。我们开发了一种基于窗口的HERV比对(WHA)方法,该方法使用定义长度的连续、不重叠窗口分析比对的DNA序列。样本被评为阳性(>=9个良好/可用窗口)或阴性(<=8个良好/可用窗口)。

结果

使用WHA,我们从31名正常个体中建立了一个对照组,在选定的HERV基因座处窗口少于8个。我们分析了三项住院COVID-19患者研究的scRNA-seq数据,发现单核细胞中有不同的HERV表达模式。在流感、登革热病毒或败血症患者中也发现了独特的模式。接下来,我们检查了COVID-19康复后早期(<7天)和晚期(>14天)时间点的HERV表达,并在两组中检测到HERV基因座。分析12名COVID-19急性后遗症(PASC)患者,我们确定了所有患者中表达的三个HERV基因座。一些基因座显示良好/可用窗口数量增加,表明转录本更长,序列深度更大。扩增最多的基因座位于JAKMIP2的一个内含子内,该内含子与邻近的宿主基因一起也显示转录增加。

结论

先前的研究表明,包括COVID-19、流感和登革热病毒以及败血症在内的病毒感染可通过造血干细胞和髓系祖细胞的表观遗传重塑在单核细胞中诱导先天免疫记忆。在PASC患者的单核细胞中共同扩增的HERV基因座和邻近宿主基因转录本的鉴定表明表观遗传重塑的髓系祖细胞有所扩增。这些HERV-宿主基因模式的鉴定为理解PASC患者的临床特征提供了必要的基础。

https://cdn.ncbi.nlm.nih.gov/pmc/blobs/2fba/12241865/896117cbe5a6/fimmu-16-1621657-g001.jpg

文献AI研究员

20分钟写一篇综述,助力文献阅读效率提升50倍。

立即体验

用中文搜PubMed

大模型驱动的PubMed中文搜索引擎

马上搜索

文档翻译

学术文献翻译模型,支持多种主流文档格式。

立即体验