Suppr超能文献

痘病毒载体以I型干扰素、白细胞介素-18和单核细胞依赖的方式激活人自然杀伤细胞和黏膜相关恒定T细胞。

Poxvirus Vectors Activate Human NK and MAIT Cells in a Type I Interferon, IL-18, and Monocyte-Dependent Manner.

作者信息

N'guessan Kombo F, Shubin Zhanna, Machmach Kawthar, Sandberg Johan K, Ake Julie A, Vasan Sandhya, Eller Michael A, Paquin-Proulx Dominic

机构信息

US Military HIV Research Program, Center for Infectious Disease Research, Walter Reed Army Institute of Research, Silver Spring, Maryland, USA.

Henry M. Jackson Foundation for the Advancement of Military Medicine Inc, Bethesda, Maryland, USA.

出版信息

J Immunol Res. 2025 Jul 12;2025:1203141. doi: 10.1155/jimr/1203141. eCollection 2025.

Abstract

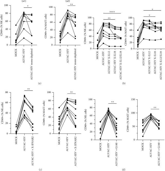
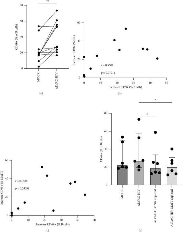
Recombinant poxviruses have been extensively studied as vaccine vectors, yet the specific mechanisms by which they engage the immune system remain incompletely understood. ALVAC is a poxviral vector that was a component of the HIV vaccine used in the Thai RV144 trial, showing modest efficacy in reducing HIV acquisition. Here, we show that in vitro ALVAC-HIV infection of peripheral blood mononuclear cells (PBMCs) activates natural killer (NK) and mucosal-associated invariant T (MAIT) cells. This activation was partially dependent on monocytes, cGAS sensing, and production of IL-18 and type I IFN. Furthermore, ALVAC-HIV-mediated activation of NK and MAIT cells contributed to the activation of B cells. Modified vaccinia Ankara (MVA), another poxviral vector used for prevention of smallpox and mpox, similarly activated NK and MAIT cells. Overall, this suggests a conserved mechanism by which NK and MAIT cells could contribute to the immunogenicity of poxviral vectors.

摘要

重组痘病毒作为疫苗载体已得到广泛研究,但其激活免疫系统的具体机制仍未完全明确。安卡拉痘病毒(ALVAC)是一种痘病毒载体,曾是泰国RV144试验中使用的HIV疫苗的组成部分,在降低HIV感染率方面显示出一定疗效。在此,我们表明,外周血单核细胞(PBMC)在体外被ALVAC-HIV感染会激活自然杀伤(NK)细胞和黏膜相关恒定T(MAIT)细胞。这种激活部分依赖于单核细胞、cGAS感知以及IL-18和I型干扰素的产生。此外,ALVAC-HIV介导的NK细胞和MAIT细胞激活有助于B细胞的激活。另一种用于预防天花和猴痘的痘病毒载体——改良安卡拉痘苗病毒(MVA),同样能激活NK细胞和MAIT细胞。总体而言,这表明存在一种保守机制,通过该机制NK细胞和MAIT细胞可能有助于痘病毒载体的免疫原性。

https://cdn.ncbi.nlm.nih.gov/pmc/blobs/d0e6/12276059/438236a39a94/JIR2025-1203141.001.jpg

文献AI研究员

20分钟写一篇综述,助力文献阅读效率提升50倍。

立即体验

用中文搜PubMed

大模型驱动的PubMed中文搜索引擎

马上搜索

文档翻译

学术文献翻译模型,支持多种主流文档格式。

立即体验