Suppr超能文献

基于监督机器学习和计算分析揭示与晶状体损伤的伤口愈合和纤维化结果相关的独特分子特征。

Supervised Machine-Based Learning and Computational Analysis to Reveal Unique Molecular Signatures Associated with Wound Healing and Fibrotic Outcomes to Lens Injury.

作者信息

Lalman Catherine, Stabler Kylie R, Yang Yimin, Walker Janice L

机构信息

Department of Pathology and Genomic Medicine, Thomas Jefferson University, Philadelphia, PA 19107, USA.

Sidney Kimmel Medical School, Thomas Jefferson University, Philadelphia, PA 19107, USA.

出版信息

Int J Mol Sci. 2025 Aug 1;26(15):7422. doi: 10.3390/ijms26157422.

Abstract

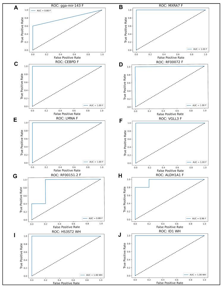
Posterior capsule opacification (PCO), a frequent complication of cataract surgery, arises from dysregulated wound healing and fibrotic transformation of residual lens epithelial cells. While transcriptomic and machine learning (ML) approaches have elucidated fibrosis-related pathways in other tissues, the molecular divergence between regenerative and fibrotic outcomes in the lens remains unclear. Here, we used an ex vivo chick lens injury model to simulate post-surgical conditions, collecting RNA from lenses undergoing either regenerative wound healing or fibrosis between days 1-3 post-injury. Bulk RNA sequencing data were normalized, log-transformed, and subjected to univariate filtering prior to training LASSO, SVM, and RF ML models to identify discriminatory gene signatures. Each model was independently validated using a held-out test set. Distinct gene sets were identified, including fibrosis-associated genes (, gga-miR-143, RF00072) and wound-healing-associated genes (), with several achieving perfect classification. Gene Set Enrichment Analysis revealed divergent pathway activation, including extracellular matrix remodeling, DNA replication, and spliceosome associated with fibrosis. RT-PCR in independent explants confirmed key differential expression levels. These findings demonstrate the utility of supervised ML for discovering lens-specific fibrotic and regenerative gene features and nominate biomarkers for targeted intervention to mitigate PCO.

摘要

后囊膜混浊(PCO)是白内障手术常见的并发症,源于伤口愈合失调和残留晶状体上皮细胞的纤维化转变。虽然转录组学和机器学习(ML)方法已经阐明了其他组织中与纤维化相关的途径,但晶状体再生和纤维化结果之间的分子差异仍不清楚。在这里,我们使用离体鸡晶状体损伤模型来模拟术后情况,在损伤后1-3天内从经历再生性伤口愈合或纤维化的晶状体中收集RNA。在训练LASSO、支持向量机(SVM)和随机森林(RF)ML模型以识别具有鉴别性的基因特征之前,对大量RNA测序数据进行归一化、对数转换和单变量过滤。每个模型都使用留出的测试集进行独立验证。鉴定出了不同的基因集,包括与纤维化相关的基因(,gga-miR-143,RF00072)和与伤口愈合相关的基因(),其中一些实现了完美分类。基因集富集分析揭示了不同的途径激活,包括与纤维化相关的细胞外基质重塑、DNA复制和剪接体。在独立的外植体中进行的逆转录聚合酶链反应(RT-PCR)证实了关键的差异表达水平。这些发现证明了监督式ML在发现晶状体特异性纤维化和再生基因特征方面的实用性,并为减轻PCO的靶向干预提名了生物标志物。

https://cdn.ncbi.nlm.nih.gov/pmc/blobs/5d77/12347510/689ef2f5b7b5/ijms-26-07422-g001.jpg

文献AI研究员

20分钟写一篇综述,助力文献阅读效率提升50倍。

立即体验

用中文搜PubMed

大模型驱动的PubMed中文搜索引擎

马上搜索

文档翻译

学术文献翻译模型,支持多种主流文档格式。

立即体验