Suppr超能文献

2000 - 2021年温度和降水对结核病发病率和死亡率的影响及滞后效应:一项观察性研究

The influence and lag-effect of temperature and precipitation on the incidence and mortality of tuberculosis, 2000-2021: an observational study.

作者信息

Liu Qiao, Wang Yaping, Liu Min, Zhao Yanlin, Liu Jue

机构信息

Department of Epidemiology and Biostatistics, School of Public Health, Peking University, Beijing, China.

Institute of Environmental Medicine, Peking University, Beijing, China.

出版信息

Front Public Health. 2025 Aug 13;13:1572422. doi: 10.3389/fpubh.2025.1572422. eCollection 2025.

Abstract

BACKGROUND

Tuberculosis (TB) remains a major global health concern, particularly in low-and middle-income countries. Climate change may influence TB burden through effects on human health, living conditions, and pathogen transmission, yet its long-term impact remains underexplored.

METHODS

This observational study integrated data on temperature and precipitation obtained from NCEI/NOAA, TB burden from the Global Burden of Disease Study 2021, and socio-economic covariates from the World Bank open data platform. We used quasi-Poisson regression to assess non-lagged associations and applied distributed lag non-linear models to estimate lagged effects of climate exposure on age-standardized incidence and mortality rates (ASIR and ASMR) of TB from 2000 to 2021.

RESULTS

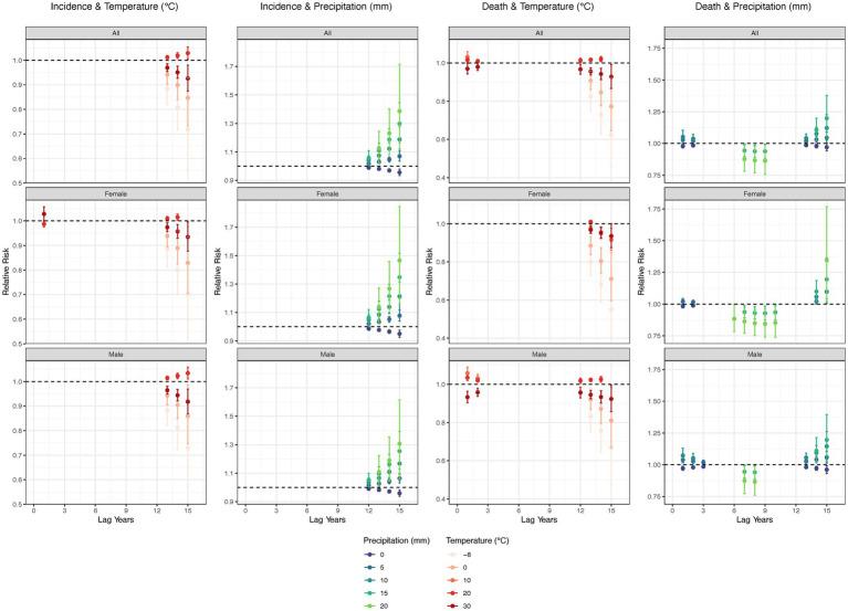
From 2000 to 2021, global TB age-standardized incidence rate and age-standardized mortality rate declined annually by 2.15 and 4.18%, respectively, with higher burdens in Africa and Southeast Asia. TB rates were elevated in males and those over 50, while younger age groups (<5, 5-14) in countries like the Philippines and Zimbabwe saw increases. A 1°C rise in temperature reduced age-standardized incidence rate by 0.89% and ASMR by 1.61%, while 1 mm increased precipitation raised age-standardized mortality rate by 1.80%, impacting males more. Higher temperatures increased TB rates in South-East Asia and Western Pacific, while precipitation raised rates in Africa, Eastern Mediterranean, and the Americas. Low and high temperatures showed negative lag effects after 12-15 years, while high temperatures posed a short-term risk for those aged 50+. 0 mm precipitation was protective after 10-15 years, while intermediate and humid precipitation levels had mixed effects, including some negative impacts on mortality.

CONCLUSION

There is urgent need for tailored interventions that strengthen healthcare infrastructure, enhance disaster preparedness, and address both social determinants and climatic influences. By incorporating climate factors into the understanding of TB trends, our study offers critical insights to guide public health strategies in the era of climate change, contributing to more effective approaches for achieving the SDG targets for TB elimination.

摘要

背景

结核病仍然是全球主要的健康问题,在低收入和中等收入国家尤为如此。气候变化可能通过对人类健康、生活条件和病原体传播的影响来影响结核病负担,但其长期影响仍未得到充分探索。

方法

这项观察性研究整合了从美国国家环境信息中心/美国国家海洋和大气管理局获取的温度和降水数据、2021年全球疾病负担研究中的结核病负担数据,以及世界银行开放数据平台的社会经济协变量数据。我们使用准泊松回归来评估非滞后关联,并应用分布滞后非线性模型来估计2000年至2021年气候暴露对结核病年龄标准化发病率和死亡率(ASIR和ASMR)的滞后效应。

结果

2000年至2021年,全球结核病年龄标准化发病率和年龄标准化死亡率分别以每年2.15%和4.18%的速度下降,非洲和东南亚的负担更高。男性和50岁以上人群的结核病发病率较高,而在菲律宾和津巴布韦等国,5岁以下、5至14岁等较年轻年龄组的发病率有所上升。温度每升高1°C,年龄标准化发病率降低0.89%,年龄标准化死亡率降低1.61%,而降水量每增加1毫米,年龄标准化死亡率升高1.80%,对男性的影响更大。较高温度使东南亚和西太平洋地区的结核病发病率上升,而降水使非洲、东地中海和美洲地区的发病率上升。低温和高温在12至15年后显示出负向滞后效应,而高温对50岁以上人群构成短期风险。降水量为0毫米在10至15年后具有保护作用,而中等和湿润降水水平具有混合效应,包括对死亡率的一些负面影响。

结论

迫切需要采取针对性的干预措施,加强医疗基础设施,提高灾害准备能力,并解决社会决定因素和气候影响。通过将气候因素纳入对结核病趋势的理解,我们的研究提供了关键见解,以指导气候变化时代的公共卫生战略,有助于采取更有效的方法实现消除结核病的可持续发展目标。

https://cdn.ncbi.nlm.nih.gov/pmc/blobs/9c0f/12380760/68a3505d9ecb/fpubh-13-1572422-g001.jpg

文献AI研究员

20分钟写一篇综述,助力文献阅读效率提升50倍。

立即体验

用中文搜PubMed

大模型驱动的PubMed中文搜索引擎

马上搜索

文档翻译

学术文献翻译模型,支持多种主流文档格式。

立即体验