Suppr超能文献

胃癌异时性肝转移预测模型的建立

Development of a predictive model for metachronous liver metastasis in gastric cancer.

作者信息

Wang Siyuan, Zheng Gaozan, Wu Fengsu, Tian Ye, Qiao Xinyu, Dou Xinyu, Dan Hanjun, Ren Guangming, Niu Liaoran, Wang Pengfei, Duan Lili, Yang Yumao, Zheng Jianyong, Feng Fan

机构信息

Department of Digestive Surgery, Xijing Hospital of Digestive Diseases, Fourth Military Medical University, Xi'an, Shaanxi, China.

Institute of Anal-Colorectal Surgery, The 989th Hospital of the Joint Logistics Support Force of People's Liberation Army (PLA), Luoyang, Henan, China.

出版信息

Front Oncol. 2025 Aug 18;15:1603471. doi: 10.3389/fonc.2025.1603471. eCollection 2025.

Abstract

BACKGROUND

Patients with metachronous liver metastasis (MLM) in gastric cancer generally have a poor prognosis. Early detection and accurate prediction of MLM are crucial for improving clinical outcomes. This study aims to identify the risk factors for MLM through clinical pathological parameters and develop a predictive model for MLM in gastric cancer.

METHODS

A retrospective analysis of 1248 gastric cancer patients who underwent radical surgery between December 2016 and December 2020 was conducted. Patients were randomly divided into training (70%, n=873) and validation (30%, n=375) datasets. The optimal cutoff values for the continuous variables were determined using the Youden index. Univariate and multivariate logistic regression analyses were used to identify risk factors for MLM. A nomogram was developed based on the results of multivariate analysis. The model's value was validated through receiver operating characteristic (ROC) curves, calibration curves, and decision curve analysis (DCA).

RESULTS

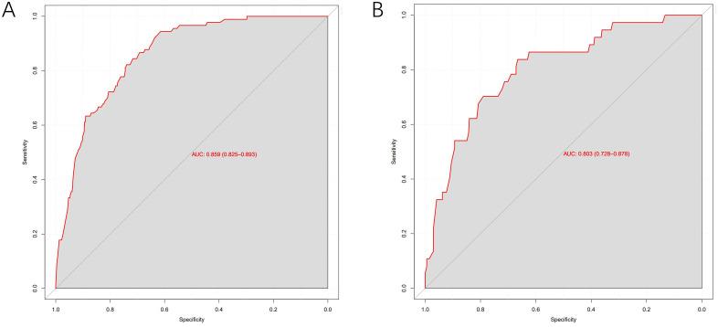
The incidence of MLM was comparable between the training (10.3%, 90/873) and validation set (9.9%, 37/375). The optimal cutoff value was 3.315ng/ml for preoperative alpha-fetoprotein (AFP) level, 16.275U/ml for preoperative cancer antigen 125 (CA125) level, 0.280×10/L for monocyte count and 1.430×10/L for lymphocyte count, respectively. Univariate analysis showed that age, tumor size, pathological type, surgical method, T stage, N stage, TNM stage, neural invasion, lymphatic vascular invasion, number of lymph nodes harvested (LNH), preoperative total protein (TP), hemoglobin (HB), albumin (ALB), preoperative carcinoembryonic antigen (CEA), preoperative cancer antigen 19-9 (CA19-9), CA125, AFP levels, monocyte count, lymphocyte count, red blood cell (RBC) count and platelet count were considered as potential variables. Multivariate logistic regression analysis indicated that T stage, N stage, monocyte count, lymphocyte count, preoperative AFP and CA125 levels were independent predictive factors for MLM. The identified risk factors were further used to develop a predictive nomogram for MLM. The nomogram exhibited robust discriminatory performance, with an area under the curve (AUC) of 0.859 in the training set and 0.803 in the validation set. Moreover, the nomogram demonstrated excellent calibration and significant clinical utility.

CONCLUSION

This study successfully developed a predictive nomogram for MLM in gastric cancer. Besides conventional parameters, we identified and incorporated peripheral blood monocyte and lymphocyte counts as novel predictors, demonstrating their independent predictive value. Integrating these factors into nomogram could enhance predictive accuracy of MLM.

摘要

背景

胃癌异时性肝转移(MLM)患者的预后通常较差。早期检测和准确预测MLM对于改善临床结局至关重要。本研究旨在通过临床病理参数确定MLM的危险因素,并建立胃癌MLM的预测模型。

方法

对2016年12月至2020年12月期间接受根治性手术的1248例胃癌患者进行回顾性分析。患者被随机分为训练集(70%,n = 873)和验证集(30%,n = 375)。使用约登指数确定连续变量的最佳截断值。采用单因素和多因素逻辑回归分析确定MLM的危险因素。基于多因素分析结果绘制列线图。通过受试者操作特征(ROC)曲线、校准曲线和决策曲线分析(DCA)验证模型的价值。

结果

训练集(10.3%,90/873)和验证集(9.9%,37/375)中MLM的发生率相当。术前甲胎蛋白(AFP)水平的最佳截断值为3.315ng/ml,术前癌抗原125(CA125)水平为16.275U/ml,单核细胞计数为0.280×10/L,淋巴细胞计数为1.430×10/L。单因素分析显示,年龄、肿瘤大小、病理类型、手术方式、T分期、N分期、TNM分期、神经侵犯、淋巴管侵犯、清扫淋巴结数目(LNH)、术前总蛋白(TP)、血红蛋白(HB)、白蛋白(ALB)、术前癌胚抗原(CEA)、术前癌抗原19-9(CA19-9)、CA125、AFP水平、单核细胞计数、淋巴细胞计数、红细胞(RBC)计数和血小板计数被视为潜在变量。多因素逻辑回归分析表明,T分期、N分期、单核细胞计数、淋巴细胞计数、术前AFP和CA125水平是MLM的独立预测因素。将识别出的危险因素进一步用于构建MLM的预测列线图。该列线图表现出强大的区分性能,训练集中曲线下面积(AUC)为0.859,验证集中为0.803。此外,列线图显示出良好的校准和显著的临床实用性。

结论

本研究成功构建了胃癌MLM的预测列线图。除了传统参数外,我们识别并纳入外周血单核细胞和淋巴细胞计数作为新的预测指标,证明了它们的独立预测价值。将这些因素整合到列线图中可提高MLM的预测准确性。

https://cdn.ncbi.nlm.nih.gov/pmc/blobs/e4c2/12399398/d382623ef36c/fonc-15-1603471-g001.jpg

文献AI研究员

20分钟写一篇综述,助力文献阅读效率提升50倍。

立即体验

用中文搜PubMed

大模型驱动的PubMed中文搜索引擎

马上搜索

文档翻译

学术文献翻译模型,支持多种主流文档格式。

立即体验