Suppr超能文献

Kiestra全实验室自动化与质谱联用在临床微生物学实践中的性能表现

Performance of Kiestra total laboratory automation combined with MS in clinical microbiology practice.

作者信息

Mutters Nico T, Hodiamont Caspar J, de Jong Menno D, Overmeijer Hendri P J, van den Boogaard Mandy, Visser Caroline E

机构信息

Department of Infectious Diseases, Medical Microbiology and Hygiene, Heidelberg University Hospital, Heidelberg, Germany. ; Academic Medical Centre, Department of Medical Microbiology, University of Amsterdam, Amsterdam, the Netherlands.

Academic Medical Centre, Department of Medical Microbiology, University of Amsterdam, Amsterdam, the Netherlands.

出版信息

Ann Lab Med. 2014 Mar;34(2):111-7. doi: 10.3343/alm.2014.34.2.111. Epub 2014 Feb 13.

Abstract

BACKGROUND

Microbiological laboratories seek technologically innovative solutions to cope with large numbers of samples and limited personnel and financial resources. One platform that has recently become available is the Kiestra Total Laboratory Automation (TLA) system (BD Kiestra B.V., the Netherlands). This fully automated sample processing system, equipped with digital imaging technology, allows superior detection of microbial growth. Combining this approach with matrix-assisted laser desorption ionization time-of-flight mass spectrometry (MS) (Bruker Daltonik, Germany) is expected to enable more rapid identification of pathogens.

METHODS

Early growth detection by digital imaging using Kiestra TLA combined with MS was compared to conventional methods (CM) of detection. Accuracy and time taken for microbial identification were evaluated for the two methods in 219 clinical blood culture isolates. The possible clinical impact of earlier microbial identification was assessed according to antibiotic treatment prescription.

RESULTS

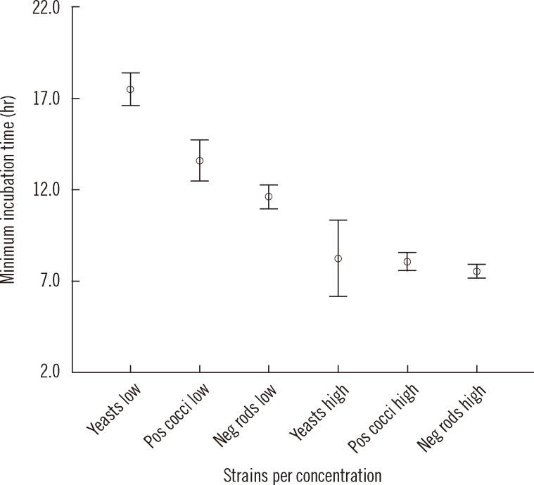
Pathogen identification using Kiestra TLA combined with MS resulted in a 30.6 hr time gain per isolate compared to CM. Pathogens were successfully identified in 98.4% (249/253) of all tested isolates. Early microbial identification without susceptibility testing led to an adjustment of antibiotic regimen in 12% (24/200) of patients.

CONCLUSIONS

The requisite 24 hr incubation time for microbial pathogens to reach sufficient growth for susceptibility testing and identification would be shortened by the implementation of Kiestra TLA in combination with MS, compared to the use of CM. Not only can this method optimize workflow and reduce costs, but it can allow potentially life-saving switches in antibiotic regimen to be initiated sooner.

摘要

背景

微生物实验室寻求技术创新解决方案,以应对大量样本以及人员和资金资源有限的问题。最近可用的一个平台是Kiestra全自动实验室系统(TLA)(荷兰BD Kiestra B.V.公司)。这个配备数字成像技术的全自动样本处理系统,能够更出色地检测微生物生长情况。将这种方法与基质辅助激光解吸电离飞行时间质谱(MS)(德国布鲁克道尔顿公司)相结合,有望实现病原体的更快速鉴定。

方法

将使用Kiestra TLA结合MS通过数字成像进行的早期生长检测与传统检测方法(CM)进行比较。对219株临床血培养分离株的两种方法的微生物鉴定准确性和所需时间进行了评估。根据抗生素治疗处方评估早期微生物鉴定可能产生的临床影响。

结果

与CM相比,使用Kiestra TLA结合MS进行病原体鉴定,每株分离株可节省30.6小时。在所有测试的分离株中,98.4%(249/253)的病原体被成功鉴定。在未进行药敏试验的情况下早期鉴定微生物,导致12%(24/200)的患者调整了抗生素治疗方案。

结论

与使用CM相比,实施Kiestra TLA结合MS可缩短微生物病原体达到足够生长以进行药敏试验和鉴定所需的24小时培养时间。这种方法不仅可以优化工作流程并降低成本,还可以使抗生素治疗方案的潜在救命调整更早开始。

https://cdn.ncbi.nlm.nih.gov/pmc/blobs/a64e/3948823/f2613c13b2a5/alm-34-111-g001.jpg

文献AI研究员

20分钟写一篇综述,助力文献阅读效率提升50倍。

立即体验

用中文搜PubMed

大模型驱动的PubMed中文搜索引擎

马上搜索

文档翻译

学术文献翻译模型,支持多种主流文档格式。

立即体验