Suppr超能文献

铜绿假单胞菌的温和噬菌体在长期囊性纤维化慢性肺部感染中的裂解活性。

Lytic activity by temperate phages of Pseudomonas aeruginosa in long-term cystic fibrosis chronic lung infections.

作者信息

James Chloe E, Davies Emily V, Fothergill Joanne L, Walshaw Martin J, Beale Colin M, Brockhurst Michael A, Winstanley Craig

机构信息

1] Institute of Infection and Global Health, University of Liverpool, Liverpool, UK [2] School of Environment and Life Sciences, University of Salford, Manchester, UK.

Institute of Infection and Global Health, University of Liverpool, Liverpool, UK.

出版信息

ISME J. 2015 Jun;9(6):1391-8. doi: 10.1038/ismej.2014.223. Epub 2014 Dec 2.

Abstract

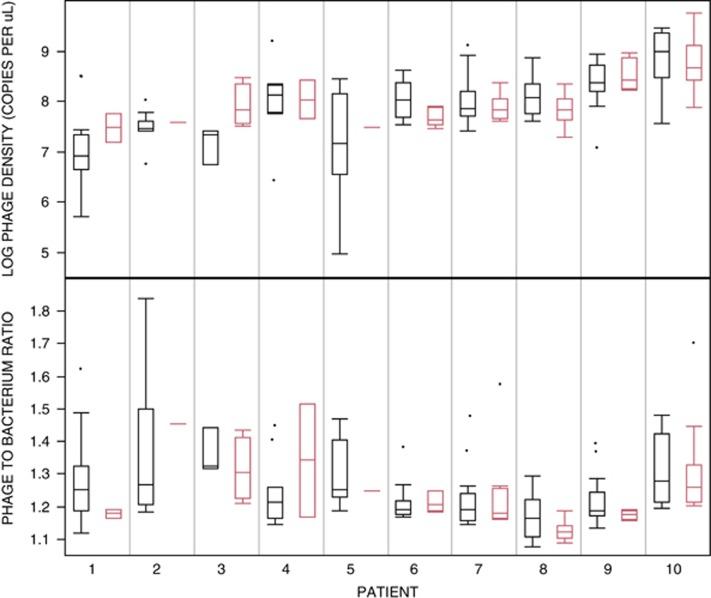
Pseudomonas aeruginosa is the most common bacterial pathogen infecting the lungs of cystic fibrosis (CF) patients. The transmissible Liverpool epidemic strain (LES) harbours multiple inducible prophages (LESϕ2; LESϕ3; LESϕ4; LESϕ5; and LESϕ6), some of which are known to confer a competitive advantage in an in vivo rat model of chronic lung infection. We used quantitative PCR (Q-PCR) to measure the density and dynamics of all five LES phages in the sputa of 10 LES-infected CF patients over a period of 2 years. In all patients, the densities of free-LES phages were positively correlated with the densities of P. aeruginosa, and total free-phage densities consistently exceeded bacterial host densities 10-100-fold. Further, we observed a negative correlation between the phage-to-bacterium ratio and bacterial density, suggesting a role for lysis by temperate phages in regulation of the bacterial population densities. In 9/10 patients, LESϕ2 and LESϕ4 were the most abundant free phages, which reflects the differential in vitro induction properties of the phages. These data indicate that temperate phages of P. aeruginosa retain lytic activity after prolonged periods of chronic infection in the CF lung, and suggest that temperate phage lysis may contribute to regulation of P. aeruginosa density in vivo.

摘要

铜绿假单胞菌是感染囊性纤维化(CF)患者肺部的最常见细菌病原体。可传播的利物浦流行菌株(LES)携带多种诱导性原噬菌体(LESϕ2;LESϕ3;LESϕ4;LESϕ5;和LESϕ6),其中一些已知在慢性肺部感染的体内大鼠模型中具有竞争优势。我们使用定量PCR(Q-PCR)在2年的时间里测量了10例感染LES的CF患者痰液中所有五种LES噬菌体的密度和动态变化。在所有患者中,游离LES噬菌体的密度与铜绿假单胞菌的密度呈正相关,并且游离噬菌体的总密度始终比细菌宿主密度高10至100倍。此外,我们观察到噬菌体与细菌的比例与细菌密度之间呈负相关,这表明温和噬菌体的裂解作用在调节细菌种群密度中发挥了作用。在10例患者中的9例中,LESϕ2和LESϕ4是最丰富的游离噬菌体,这反映了噬菌体在体外的不同诱导特性。这些数据表明,铜绿假单胞菌的温和噬菌体在CF肺部长期慢性感染后仍保留裂解活性,并表明温和噬菌体裂解可能有助于体内铜绿假单胞菌密度的调节。

https://cdn.ncbi.nlm.nih.gov/pmc/blobs/dbf4/4438325/430fc468774a/ismej2014223f1.jpg

文献AI研究员

20分钟写一篇综述,助力文献阅读效率提升50倍。

立即体验

用中文搜PubMed

大模型驱动的PubMed中文搜索引擎

马上搜索

文档翻译

学术文献翻译模型,支持多种主流文档格式。

立即体验