Suppr超能文献

预测和预报 COVID-19 局部暴发的影响:使用 SEIR-D 定量流行病学模型预测医疗需求和能力。

Predicting and forecasting the impact of local outbreaks of COVID-19: use of SEIR-D quantitative epidemiological modelling for healthcare demand and capacity.

机构信息

School of Life Sciences, Centre for Genome Damage and Stability, University of Sussex, Brighton, UK.

Department of Mathematics, School of Mathematical and Physical Sciences, University of Sussex, Brighton, UK.

出版信息

Int J Epidemiol. 2021 Aug 30;50(4):1103-1113. doi: 10.1093/ije/dyab106.

Abstract

BACKGROUND

The world is experiencing local/regional hotspots and spikes in the severe acute respiratory syndrome coronavirus 2 (SARS-CoV-2), which causes COVID-19 disease. We aimed to formulate an applicable epidemiological model to accurately predict and forecast the impact of local outbreaks of COVID-19 to guide the local healthcare demand and capacity, policy-making and public health decisions.

METHODS

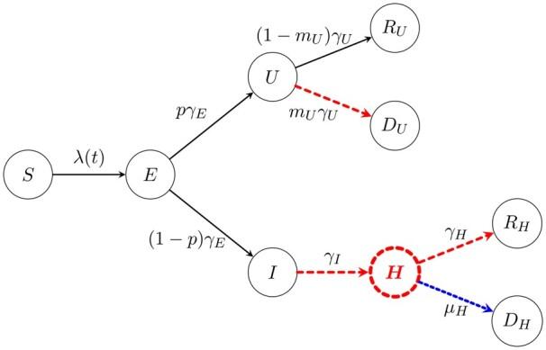
The model utilized the aggregated daily COVID-19 situation reports (including counts of daily admissions, discharges and bed occupancy) from the local National Health Service (NHS) hospitals and COVID-19-related weekly deaths in hospitals and other settings in Sussex (population 1.7 million), Southeast England. These data sets corresponded to the first wave of COVID-19 infections from 24 March to 15 June 2020. A novel epidemiological predictive and forecasting model was then derived based on the local/regional surveillance data. Through a rigorous inverse parameter inference approach, the model parameters were estimated by fitting the model to the data in an optimal sense and then subsequent validation.

RESULTS

The inferred parameters were physically reasonable and matched up to the widely used parameter values derived from the national data sets by Biggerstaff M, Cowling BJ, Cucunubá ZM et al. (Early insights from statistical and mathematical modeling of key epidemiologic parameters of COVID-19, Emerging infectious diseases. 2020;26(11)). We validate the predictive power of our model by using a subset of the available data and comparing the model predictions for the next 10, 20 and 30 days. The model exhibits a high accuracy in the prediction, even when using only as few as 20 data points for the fitting.

CONCLUSIONS

We have demonstrated that by using local/regional data, our predictive and forecasting model can be utilized to guide the local healthcare demand and capacity, policy-making and public health decisions to mitigate the impact of COVID-19 on the local population. Understanding how future COVID-19 spikes/waves could possibly affect the regional populations empowers us to ensure the timely commissioning and organization of services. The flexibility of timings in the model, in combination with other early-warning systems, produces a time frame for these services to prepare and isolate capacity for likely and potential demand within regional hospitals. The model also allows local authorities to plan potential mortuary capacity and understand the burden on crematoria and burial services. The model algorithms have been integrated into a web-based multi-institutional toolkit, which can be used by NHS hospitals, local authorities and public health departments in other regions of the UK and elsewhere. The parameters, which are locally informed, form the basis of predicting and forecasting exercises accounting for different scenarios and impacts of COVID-19 transmission.

摘要

背景

目前,全球范围内出现了局部/区域性的新冠病毒严重急性呼吸综合征冠状病毒 2(SARS-CoV-2)热点和高峰,该病毒引发了 COVID-19 疾病。我们旨在制定一种适用的流行病学模型,以准确预测和预测 COVID-19 局部爆发对当地医疗需求和能力、决策制定和公共卫生决策的影响。

方法

该模型利用了东南英格兰苏塞克斯(人口 170 万)当地国民保健署(NHS)医院汇总的每日 COVID-19 情况报告(包括每日入院、出院和床位占用人数)以及 COVID-19 相关的每周医院和其他场所死亡人数。这些数据集对应于 2020 年 3 月 24 日至 6 月 15 日的 COVID-19 感染的第一波。然后,根据当地/区域监测数据推导出一种新的流行病学预测和预测模型。通过严格的逆参数推断方法,通过以最佳方式将模型拟合到数据并随后进行验证,对模型参数进行了估计。

结果

推断的参数具有物理合理性,并与 Biggerstaff M、Cowling BJ、Cucunubá ZM 等人从全国数据集得出的广泛使用的参数值相匹配。(COVID-19 关键流行病学参数的统计和数学建模的早期见解,新发传染病。2020 年;26(11))。我们通过使用可用数据的子集并比较模型对接下来 10、20 和 30 天的预测,验证了我们模型的预测能力。即使仅使用 20 个数据点进行拟合,该模型在预测中也具有很高的准确性。

结论

我们已经证明,通过使用本地/区域数据,我们的预测和预测模型可用于指导当地医疗需求和能力、决策制定和公共卫生决策,以减轻 COVID-19 对当地人口的影响。了解未来 COVID-19 爆发/波如何可能影响区域人口,使我们能够确保及时委托和组织服务。模型中的时间安排的灵活性与其他早期预警系统相结合,为这些服务提供了一个准备和隔离区域医院可能和潜在需求的能力的时间框架。该模型还使地方当局能够规划潜在的太平间容量,并了解火葬场和葬礼服务的负担。该模型算法已集成到一个基于网络的多机构工具包中,可由 NHS 医院、地方当局和英国其他地区以及其他地区的公共卫生部门使用。参数是基于本地信息的,是预测和预测练习的基础,可考虑 COVID-19 传播的不同情景和影响。

https://cdn.ncbi.nlm.nih.gov/pmc/blobs/40ed/8407866/190a75336f5f/dyab106f1.jpg

文献AI研究员

20分钟写一篇综述,助力文献阅读效率提升50倍。

立即体验

用中文搜PubMed

大模型驱动的PubMed中文搜索引擎

马上搜索

文档翻译

学术文献翻译模型,支持多种主流文档格式。

立即体验