Suppr超能文献

英国生物库和大型国际联盟中人体大小和组成与特定部位癌症风险的关系:一项孟德尔随机化研究。

Body size and composition and risk of site-specific cancers in the UK Biobank and large international consortia: A mendelian randomisation study.

机构信息

MRC Cancer Unit, University of Cambridge, Cambridge, United Kingdom.

Department of Public Health and Primary Care, University of Cambridge, Cambridge, United Kingdom.

出版信息

PLoS Med. 2021 Jul 29;18(7):e1003706. doi: 10.1371/journal.pmed.1003706. eCollection 2021 Jul.

Abstract

BACKGROUND

Evidence for the impact of body size and composition on cancer risk is limited. This mendelian randomisation (MR) study investigates evidence supporting causal relationships of body mass index (BMI), fat mass index (FMI), fat-free mass index (FFMI), and height with cancer risk.

METHODS AND FINDINGS

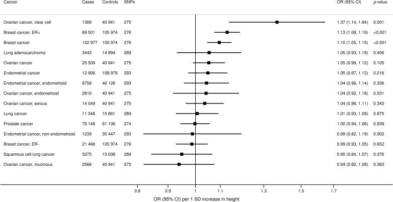
Single nucleotide polymorphisms (SNPs) were used as instrumental variables for BMI (312 SNPs), FMI (577 SNPs), FFMI (577 SNPs), and height (293 SNPs). Associations of the genetic variants with 22 site-specific cancers and overall cancer were estimated in 367,561 individuals from the UK Biobank (UKBB) and with lung, breast, ovarian, uterine, and prostate cancer in large international consortia. In the UKBB, genetically predicted BMI was positively associated with overall cancer (odds ratio [OR] per 1 kg/m2 increase 1.01, 95% confidence interval [CI] 1.00-1.02; p = 0.043); several digestive system cancers: stomach (OR 1.13, 95% CI 1.06-1.21; p < 0.001), esophagus (OR 1.10, 95% CI 1.03, 1.17; p = 0.003), liver (OR 1.13, 95% CI 1.03-1.25; p = 0.012), and pancreas (OR 1.06, 95% CI 1.01-1.12; p = 0.016); and lung cancer (OR 1.08, 95% CI 1.04-1.12; p < 0.001). For sex-specific cancers, genetically predicted elevated BMI was associated with an increased risk of uterine cancer (OR 1.10, 95% CI 1.05-1.15; p < 0.001) and with a lower risk of prostate cancer (OR 0.97, 95% CI 0.94-0.99; p = 0.009). When dividing cancers into digestive system versus non-digestive system, genetically predicted BMI was positively associated with digestive system cancers (OR 1.04, 95% CI 1.02-1.06; p < 0.001) but not with non-digestive system cancers (OR 1.01, 95% CI 0.99-1.02; p = 0.369). Genetically predicted FMI was positively associated with liver, pancreatic, and lung cancer and inversely associated with melanoma and prostate cancer. Genetically predicted FFMI was positively associated with non-Hodgkin lymphoma and melanoma. Genetically predicted height was associated with increased risk of overall cancer (OR per 1 standard deviation increase 1.09; 95% CI 1.05-1.12; p < 0.001) and multiple site-specific cancers. Similar results were observed in analyses using the weighted median and MR-Egger methods. Results based on consortium data confirmed the positive associations between BMI and lung and uterine cancer risk as well as the inverse association between BMI and prostate cancer, and, additionally, showed an inverse association between genetically predicted BMI and breast cancer. The main limitations are the assumption that genetic associations with cancer outcomes are mediated via the proposed risk factors and that estimates for some lower frequency cancer types are subject to low precision.

CONCLUSIONS

Our results show that the evidence for BMI as a causal risk factor for cancer is mixed. We find that BMI has a consistent causal role in increasing risk of digestive system cancers and a role for sex-specific cancers with inconsistent directions of effect. In contrast, increased height appears to have a consistent risk-increasing effect on overall and site-specific cancers.

摘要

背景

目前有关身体大小和组成对癌症风险影响的证据有限。本孟德尔随机化(MR)研究旨在调查支持身体质量指数(BMI)、脂肪质量指数(FMI)、无脂肪质量指数(FFMI)和身高与癌症风险之间因果关系的证据。

方法和发现

使用单核苷酸多态性(SNP)作为 BMI(312 个 SNP)、FMI(577 个 SNP)、FFMI(577 个 SNP)和身高(293 个 SNP)的工具变量。在英国生物库(UKBB)中,从 367561 名个体中估计了遗传变异与 22 种特定部位癌症和总体癌症的关联,并在大型国际联盟中估计了与肺癌、乳腺癌、卵巢癌、子宫癌和前列腺癌的关联。在 UKBB 中,遗传预测的 BMI 与总体癌症呈正相关(每增加 1kg/m2 的比值比[OR]为 1.01,95%置信区间[CI]为 1.00-1.02;p=0.043);几种消化系统癌症:胃(OR 1.13,95%CI 1.06-1.21;p<0.001)、食管(OR 1.10,95%CI 1.03-1.17;p=0.003)、肝(OR 1.13,95%CI 1.03-1.25;p=0.012)和胰腺(OR 1.06,95%CI 1.01-1.12;p=0.016);以及肺癌(OR 1.08,95%CI 1.04-1.12;p<0.001)。对于性别特异性癌症,遗传预测的 BMI 升高与子宫癌(OR 1.10,95%CI 1.05-1.15;p<0.001)风险增加和前列腺癌(OR 0.97,95%CI 0.94-0.99;p=0.009)风险降低相关。当将癌症分为消化系统癌症和非消化系统癌症时,遗传预测的 BMI 与消化系统癌症呈正相关(OR 1.04,95%CI 1.02-1.06;p<0.001),但与非消化系统癌症无关(OR 1.01,95%CI 0.99-1.02;p=0.369)。遗传预测的 FMI 与肝癌、胰腺癌和肺癌呈正相关,与黑色素瘤和前列腺癌呈负相关。遗传预测的 FFMI 与非霍奇金淋巴瘤和黑色素瘤呈正相关。遗传预测的身高与总体癌症(每增加 1 个标准差的 OR 为 1.09;95%CI 1.05-1.12;p<0.001)和多种特定部位癌症的风险增加相关。使用加权中位数和 MR-Egger 方法进行的分析也得到了类似的结果。基于联盟数据的结果证实了 BMI 与肺癌和子宫癌风险之间的正相关关系,以及 BMI 与前列腺癌之间的负相关关系,此外,还显示了遗传预测的 BMI 与乳腺癌之间的负相关关系。主要限制是假设与癌症结果相关的遗传关联是通过提出的风险因素介导的,并且一些较低频率的癌症类型的估计受到低精度的限制。

结论

我们的研究结果表明,BMI 作为癌症的因果风险因素的证据是混杂的。我们发现 BMI 在增加消化系统癌症的风险方面具有一致的因果作用,而在性别特异性癌症方面具有不一致的作用方向。相比之下,身高的增加似乎对总体和特定部位癌症的风险增加具有一致的影响。

https://cdn.ncbi.nlm.nih.gov/pmc/blobs/56bb/8320991/24f9da3836e5/pmed.1003706.g001.jpg

文献AI研究员

20分钟写一篇综述,助力文献阅读效率提升50倍。

立即体验

用中文搜PubMed

大模型驱动的PubMed中文搜索引擎

马上搜索

文档翻译

学术文献翻译模型,支持多种主流文档格式。

立即体验