Suppr超能文献

评估表观遗传时钟在多种癌症发生发展中的因果作用:一项孟德尔随机化研究。

Assessing the causal role of epigenetic clocks in the development of multiple cancers: a Mendelian randomization study.

作者信息

Morales Berstein Fernanda, McCartney Daniel L, Lu Ake T, Tsilidis Konstantinos K, Bouras Emmanouil, Haycock Philip, Burrows Kimberley, Phipps Amanda I, Buchanan Daniel D, Cheng Iona, Martin Richard M, Davey Smith George, Relton Caroline L, Horvath Steve, Marioni Riccardo E, Richardson Tom G, Richmond Rebecca C

机构信息

MRC Integrative Epidemiology Unit, University of Bristol, Bristol, United Kingdom.

Population Health Sciences, Bristol Medical School, Bristol, United Kingdom.

出版信息

Elife. 2022 Mar 29;11:e75374. doi: 10.7554/eLife.75374.

Abstract

BACKGROUND

Epigenetic clocks have been associated with cancer risk in several observational studies. Nevertheless, it is unclear whether they play a causal role in cancer risk or if they act as a non-causal biomarker.

METHODS

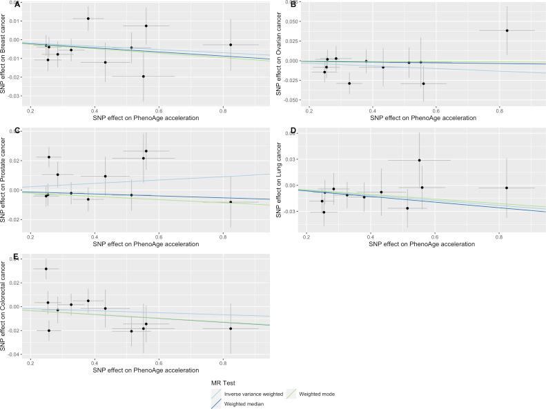
We conducted a two-sample Mendelian randomization (MR) study to examine the genetically predicted effects of epigenetic age acceleration as measured by HannumAge (nine single-nucleotide polymorphisms (SNPs)), Horvath Intrinsic Age (24 SNPs), PhenoAge (11 SNPs), and GrimAge (4 SNPs) on multiple cancers (i.e. breast, prostate, colorectal, ovarian and lung cancer). We obtained genome-wide association data for biological ageing from a meta-analysis (N = 34,710), and for cancer from the UK Biobank (N cases = 2671-13,879; N controls = 173,493-372,016), FinnGen (N cases = 719-8401; N controls = 74,685-174,006) and several international cancer genetic consortia (N cases = 11,348-122,977; N controls = 15,861-105,974). Main analyses were performed using multiplicative random effects inverse variance weighted (IVW) MR. Individual study estimates were pooled using fixed effect meta-analysis. Sensitivity analyses included MR-Egger, weighted median, weighted mode and Causal Analysis using Summary Effect Estimates (CAUSE) methods, which are robust to some of the assumptions of the IVW approach.

RESULTS

Meta-analysed IVW MR findings suggested that higher GrimAge acceleration increased the risk of colorectal cancer (OR = 1.12 per year increase in GrimAge acceleration, 95% CI 1.04-1.20, p = 0.002). The direction of the genetically predicted effects was consistent across main and sensitivity MR analyses. Among subtypes, the genetically predicted effect of GrimAge acceleration was greater for colon cancer (IVW OR = 1.15, 95% CI 1.09-1.21, p = 0.006), than rectal cancer (IVW OR = 1.05, 95% CI 0.97-1.13, p = 0.24). Results were less consistent for associations between other epigenetic clocks and cancers.

CONCLUSIONS

GrimAge acceleration may increase the risk of colorectal cancer. Findings for other clocks and cancers were inconsistent. Further work is required to investigate the potential mechanisms underlying the results.

FUNDING

FMB was supported by a Wellcome Trust PhD studentship in Molecular, Genetic and Lifecourse Epidemiology (224982/Z/22/Z which is part of grant 218495/Z/19/Z). KKT was supported by a Cancer Research UK (C18281/A29019) programme grant (the Integrative Cancer Epidemiology Programme) and by the Hellenic Republic's Operational Programme 'Competitiveness, Entrepreneurship & Innovation' (OΠΣ 5047228). PH was supported by Cancer Research UK (C18281/A29019). RMM was supported by the NIHR Biomedical Research Centre at University Hospitals Bristol and Weston NHS Foundation Trust and the University of Bristol and by a Cancer Research UK (C18281/A29019) programme grant (the Integrative Cancer Epidemiology Programme). RMM is a National Institute for Health Research Senior Investigator (NIHR202411). The views expressed are those of the author(s) and not necessarily those of the NIHR or the Department of Health and Social Care. GDS and CLR were supported by the Medical Research Council (MC_UU_00011/1 and MC_UU_00011/5, respectively) and by a Cancer Research UK (C18281/A29019) programme grant (the Integrative Cancer Epidemiology Programme). REM was supported by an Alzheimer's Society project grant (AS-PG-19b-010) and NIH grant (U01 AG-18-018, PI: Steve Horvath). RCR is a de Pass Vice Chancellor's Research Fellow at the University of Bristol.

摘要

背景

在多项观察性研究中,表观遗传时钟与癌症风险相关。然而,尚不清楚它们在癌症风险中是否起因果作用,或者它们是否作为非因果生物标志物发挥作用。

方法

我们进行了一项两样本孟德尔随机化(MR)研究,以检验通过汉纳姆年龄(九个单核苷酸多态性(SNP))、霍瓦特内在年龄(24个SNP)、表型年龄(11个SNP)和格里姆年龄(4个SNP)测量的表观遗传年龄加速的基因预测效应对多种癌症(即乳腺癌、前列腺癌、结直肠癌、卵巢癌和肺癌)的影响。我们从一项荟萃分析(N = 34,710)中获得了生物衰老的全基因组关联数据,并从英国生物银行(病例数N = 2671 - 13,879;对照数N = 173,493 - 372,016)、芬兰基因库(病例数N = 719 - 8401;对照数N = 74,685 - 174,006)以及几个国际癌症遗传联盟(病例数N = 11,348 - 122,977;对照数N = 15,861 - 105,974)中获得了癌症的相关数据。主要分析使用乘法随机效应逆方差加权(IVW)MR进行。使用固定效应荟萃分析汇总个体研究估计值。敏感性分析包括MR-Egger、加权中位数、加权模式和使用汇总效应估计值的因果分析(CAUSE)方法,这些方法对IVW方法的某些假设具有稳健性。

结果

荟萃分析的IVW MR结果表明,较高的格里姆年龄加速增加了结直肠癌的风险(格里姆年龄加速每年增加,比值比(OR)= 1.12,95%置信区间(CI)1.04 - 1.20,p = 0.002)。在主要和敏感性MR分析中,基因预测效应的方向是一致的。在亚型中,格里姆年龄加速对结肠癌的基因预测效应(IVW OR = 1.15,95% CI 1.09 - 1.21,p = 0.006)大于直肠癌(IVW OR = 1.05,95% CI 0.97 - 1.13,p = 0.24)。其他表观遗传时钟与癌症之间关联的结果不太一致。

结论

格里姆年龄加速可能增加结直肠癌的风险。其他时钟与癌症的研究结果不一致。需要进一步开展工作来研究这些结果背后的潜在机制。

资助

FMB得到了惠康信托基金会分子、遗传和生命历程流行病学博士奖学金(224982/Z/22/Z,这是资助218495/Z/19/Z的一部分)的支持。KKT得到了英国癌症研究中心(C18281/A29019)项目资助(综合癌症流行病学项目)以及希腊共和国“竞争力、创业与创新”运营项目(OΠΣ 5047228)的支持。PH得到了英国癌症研究中心(C18281/A29019)的支持。RMM得到了布里斯托尔大学医院和韦斯顿国民保健服务基金会信托基金以及布里斯托尔大学的NIHR生物医学研究中心的支持,以及英国癌症研究中心(C18281/A29019)项目资助(综合癌症流行病学项目)。RMM是国家卫生研究院高级研究员(NIHR202411)。所表达的观点是作者的观点,不一定是NIHR或卫生与社会保健部的观点。GDS和CLR分别得到了医学研究理事会(MC_UU_00011/1和MC_UU_00011/5)以及英国癌症研究中心(C18281/A29019)项目资助(综合癌症流行病学项目)的支持。REM得到了阿尔茨海默病协会项目资助(AS-PG-19b-010)和美国国立卫生研究院资助(U01 AG-18-018,首席研究员:史蒂夫·霍瓦特)。RCR是布里斯托尔大学的德帕斯副校长研究员。

https://cdn.ncbi.nlm.nih.gov/pmc/blobs/63b9/9049976/8a4563c93fce/elife-75374-fig1.jpg

文献AI研究员

20分钟写一篇综述,助力文献阅读效率提升50倍。

立即体验

用中文搜PubMed

大模型驱动的PubMed中文搜索引擎

马上搜索

文档翻译

学术文献翻译模型,支持多种主流文档格式。

立即体验