Suppr超能文献

一种基于铁死亡相关基因特征的膀胱癌新型预后模型。

A Novel Prognostic Model Based on Ferroptosis-Related Gene Signature for Bladder Cancer.

作者信息

Yang Libo, Li Chunyan, Qin Yang, Zhang Guoying, Zhao Bin, Wang Ziyuan, Huang Youguang, Yang Yong

机构信息

Department of Urology, The Third Affiliated Hospital of Kunming Medical University, Kunming, China.

Second Department of Head and Neck Surgery, The Third Affiliated Hospital of Kunming Medical University, Kunming, China.

出版信息

Front Oncol. 2021 Aug 6;11:686044. doi: 10.3389/fonc.2021.686044. eCollection 2021.

Abstract

BACKGROUND

Bladder cancer (BC) is a molecular heterogeneous malignant tumor; the treatment strategies for advanced-stage patients were limited. Therefore, it is vital for improving the clinical outcome of BC patients to identify key biomarkers affecting prognosis. Ferroptosis is a newly discovered programmed cell death and plays a crucial role in the occurrence and progression of tumors. Ferroptosis-related genes (FRGs) can be promising candidate biomarkers in BC. The objective of our study was to construct a prognostic model to improve the prognosis prediction of BC.

METHODS

The mRNA expression profiles and corresponding clinical data of bladder urothelial carcinoma (BLCA) patients were downloaded from The Cancer Genome Atlas (TCGA) and Gene Expression Omnibus (GEO) databases. FRGs were identified by downloading data from FerrDb. Differential analysis was performed to identify differentially expressed genes (DEGs) related to ferroptosis. Univariate and multivariate Cox regression analyses were conducted to establish a prognostic model in the TCGA cohort. BLCA patients from the GEO cohort were used for validation. Gene ontology (GO), Kyoto Encyclopedia of Genes and Genomes (KEGG), and single-sample gene set enrichment analysis (ssGSEA) were used to explore underlying mechanisms.

RESULTS

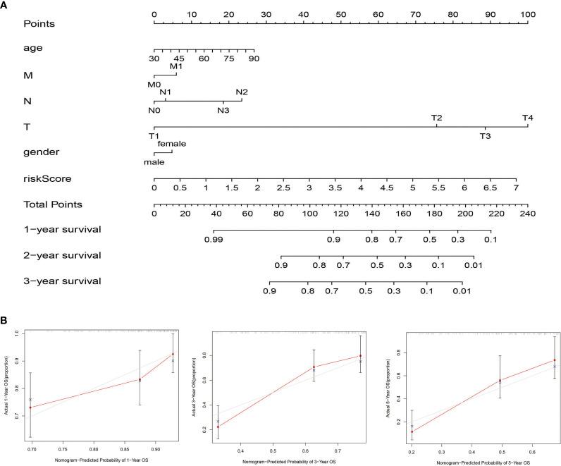
Nine genes (, and ) were identified to construct a prognostic model. Patients were classified into high-risk and low-risk groups according to the signature-based risk score. Receiver operating characteristic (ROC) and Kaplan-Meier (K-M) survival analysis confirmed the superior predictive performance of the novel survival model based on the nine-FRG signature. Multivariate Cox regression analyses showed that risk score was an independent risk factor associated with overall survival (OS). GO and KEGG enrichment analysis indicated that apart from ferroptosis-related pathways, immune-related pathways were significantly enriched. ssGSEA analysis indicated that the immune status was different between the two risk groups.

CONCLUSION

The results of our study indicated that a novel prognostic model based on the nine-FRG signature can be used for prognostic prediction in BC patients. FRGs are potential prognostic biomarkers and therapeutic targets.

摘要

背景

膀胱癌(BC)是一种分子异质性恶性肿瘤;晚期患者的治疗策略有限。因此,识别影响预后的关键生物标志物对于改善BC患者的临床结局至关重要。铁死亡是一种新发现的程序性细胞死亡,在肿瘤的发生和发展中起关键作用。铁死亡相关基因(FRGs)可能是BC中有前景的候选生物标志物。我们研究的目的是构建一个预后模型以改善BC的预后预测。

方法

从癌症基因组图谱(TCGA)和基因表达综合数据库(GEO)下载膀胱尿路上皮癌(BLCA)患者的mRNA表达谱及相应临床数据。通过从FerrDb下载数据来识别FRGs。进行差异分析以鉴定与铁死亡相关的差异表达基因(DEGs)。在TCGA队列中进行单因素和多因素Cox回归分析以建立预后模型。来自GEO队列的BLCA患者用于验证。使用基因本体论(GO)、京都基因与基因组百科全书(KEGG)和单样本基因集富集分析(ssGSEA)来探索潜在机制。

结果

鉴定出9个基因(……)以构建预后模型。根据基于特征的风险评分将患者分为高风险和低风险组。受试者工作特征(ROC)和Kaplan-Meier(K-M)生存分析证实了基于9个FRG特征的新型生存模型具有卓越的预测性能。多因素Cox回归分析表明风险评分是与总生存期(OS)相关的独立危险因素。GO和KEGG富集分析表明,除了与铁死亡相关的途径外,免疫相关途径也显著富集。ssGSEA分析表明两个风险组之间的免疫状态不同。

结论

我们的研究结果表明,基于9个FRG特征的新型预后模型可用于BC患者的预后预测。FRGs是潜在的预后生物标志物和治疗靶点。

https://cdn.ncbi.nlm.nih.gov/pmc/blobs/873a/8378228/ee051da4e813/fonc-11-686044-g001.jpg

文献AI研究员

20分钟写一篇综述,助力文献阅读效率提升50倍。

立即体验

用中文搜PubMed

大模型驱动的PubMed中文搜索引擎

马上搜索

文档翻译

学术文献翻译模型,支持多种主流文档格式。

立即体验