Suppr超能文献

基于血清铜水平的早期三阴性乳腺癌患者预后列线图的建立与验证

Establishment and Validation of Prognostic Nomograms Based on Serum Copper Level for Patients With Early-Stage Triple-Negative Breast Cancer.

作者信息

Duan Fangfang, Li Jianpei, Huang Jiajia, Hua Xin, Song Chenge, Wang Li, Bi Xiwen, Xia Wen, Yuan Zhongyu

机构信息

Departments of Medical Oncology, The State Key Laboratory of Oncology in South China, Collaborative Innovation Center for Cancer Medicine, Sun Yat-sen University Cancer Center, Guangzhou, China.

Departments of Clinical Laboratory Medicine, The State Key Laboratory of Oncology in South China, Collaborative Innovation Center for Cancer Medicine, Sun Yat-sen University Cancer Center, Guangzhou, China.

出版信息

Front Cell Dev Biol. 2021 Nov 25;9:770115. doi: 10.3389/fcell.2021.770115. eCollection 2021.

Abstract

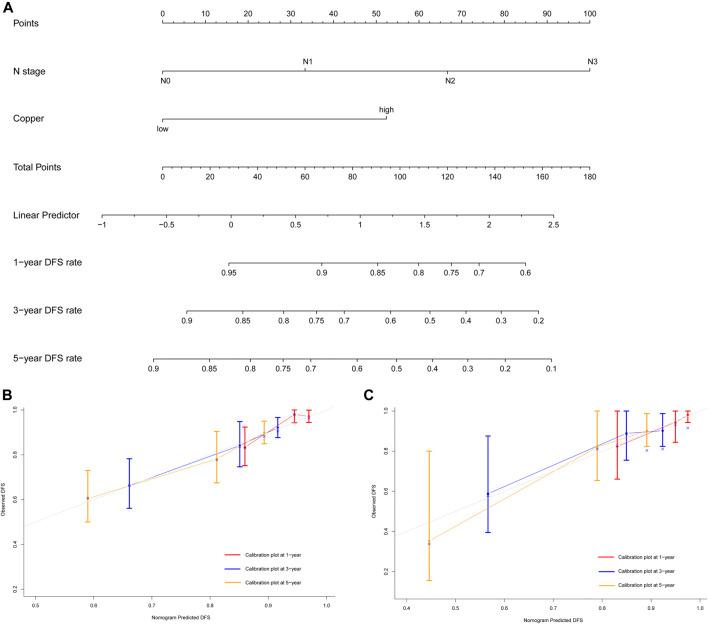
Altered copper levels have been observed in several cancers, but studies on the relationship between serum copper and early-stage triple-negative breast cancer (TNBC) remain scare. We sought to establish a predictive model incorporating serum copper levels for individualized survival predictions. We retrospectively analyzed clinicopathological information and baseline peripheric blood samples of patients diagnosed with early-stage TNBC between September 2005 and October 2016 at Sun Yat-sen University Cancer Center. The optimal cut-off point of serum copper level was determined using maximally selected log-rank statistics. Kaplan-Meier curves were used to estimate survival probabilities. Independent prognostic indicators associated with survival were identified using multivariate Cox regression analysis, and subsequently, prognostic nomograms were established to predict individualized disease-free survival (DFS) and overall survival (OS). The nomograms were validated in a separate cohort of 86 patients from the original randomized clinical trial SYSUCC-001 (SYSUCC-001 cohort). 350 patients were eligible in this study, including 264 in the training cohort and 86 in the SYSUCC-001 cohort. An optimal cut-off value of 21.3 μmol/L of serum copper was determined to maximally divide patients into low- and high-copper groups. After a median follow-up of 87.1 months, patients with high copper levels had significantly worse DFS ( = 0.002) and OS ( < 0.001) than those with low copper levels in the training cohort. Multivariate Cox regression analysis revealed that serum copper level was an independent factor for DFS and OS. Further, prognostic models based on serum copper were established for individualized predictions. These models showed excellent discrimination [C-index for DFS: 0.689, 95% confidence interval (CI): 0.621-0.757; C-index for OS: 0.728, 95% CI: 0.654-0.802] and predictive calibration, and were validated in the SYSUCC-001 cohort. Serum copper level is a potential predictive biomarker for patients with early-stage TNBC. Predictive nomograms based on serum copper might be served as a practical tool for individualized prognostication.

摘要

在多种癌症中均观察到铜水平的改变,但关于血清铜与早期三阴性乳腺癌(TNBC)之间关系的研究仍然较少。我们试图建立一个纳入血清铜水平的预测模型,用于个性化生存预测。我们回顾性分析了2005年9月至2016年10月在中山大学肿瘤防治中心被诊断为早期TNBC的患者的临床病理信息和基线外周血样本。使用最大选择对数秩统计量确定血清铜水平的最佳截断点。采用Kaplan-Meier曲线估计生存概率。通过多变量Cox回归分析确定与生存相关的独立预后指标,随后建立预后列线图以预测个性化无病生存期(DFS)和总生存期(OS)。这些列线图在来自原始随机临床试验SYSUCC-001的86例患者的独立队列(SYSUCC-001队列)中进行了验证。本研究纳入了350例患者,其中训练队列264例,SYSUCC-001队列86例。确定血清铜的最佳截断值为21.3μmol/L,以最大限度地将患者分为低铜组和高铜组。在中位随访87.1个月后,训练队列中铜水平高的患者的DFS(P = 0.002)和OS(P < 0.001)明显差于铜水平低的患者。多变量Cox回归分析显示,血清铜水平是DFS和OS的独立因素。此外,还建立了基于血清铜的预后模型用于个性化预测。这些模型显示出良好的区分度[DFS的C指数:0.689,95%置信区间(CI):0.621 - 0.757;OS的C指数:0.728,95%CI:0.654 - 0.802]和预测校准,并在SYSUCC-001队列中得到验证。血清铜水平是早期TNBC患者的一个潜在预测生物标志物。基于血清铜的预测列线图可能作为个性化预后评估的实用工具。

https://cdn.ncbi.nlm.nih.gov/pmc/blobs/2f91/8657150/f8c2757e042a/fcell-09-770115-g001.jpg

文献AI研究员

20分钟写一篇综述,助力文献阅读效率提升50倍。

立即体验

用中文搜PubMed

大模型驱动的PubMed中文搜索引擎

马上搜索

文档翻译

学术文献翻译模型,支持多种主流文档格式。

立即体验