Suppr超能文献

基于核糖体 S1 蛋白序列合成的杂合肽的多种抗菌作用。

Multiple Antimicrobial Effects of Hybrid Peptides Synthesized Based on the Sequence of Ribosomal S1 Protein from .

机构信息

Institute of Environmental and Agricultural Biology (X-BIO), Tyumen State University, 625003 Tyumen, Russia.

Biology Faculty, Lomonosov Moscow State University, 119991 Moscow, Russia.

出版信息

Int J Mol Sci. 2022 Jan 4;23(1):524. doi: 10.3390/ijms23010524.

Abstract

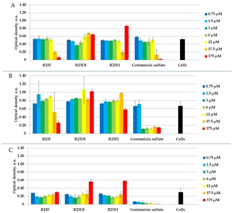
The need to develop new antimicrobial peptides is due to the high resistance of pathogenic bacteria to traditional antibiotics now and in the future. The creation of synthetic peptide constructs is a common and successful approach to the development of new antimicrobial peptides. In this work, we use a simple, flexible, and scalable technique to create hybrid antimicrobial peptides containing amyloidogenic regions of the ribosomal S1 protein from . While the cell-penetrating peptide allows the peptide to enter the bacterial cell, the amyloidogenic site provides an antimicrobial effect by coaggregating with functional bacterial proteins. We have demonstrated the antimicrobial effects of the R23F, R23DI, and R23EI hybrid peptides against , methicillin-resistant (MRSA), , , and . R23F, R23DI, and R23EI can be used as antimicrobial peptides against Gram-positive and Gram-negative bacteria resistant to traditional antibiotics.

摘要

由于目前和未来病原菌对抗生素的高度耐药性,开发新的抗菌肽势在必行。合成肽结构的创造是开发新抗菌肽的一种常用且成功的方法。在这项工作中,我们使用一种简单、灵活和可扩展的技术来创建含有核糖体 S1 蛋白的淀粉样结构域的杂合抗菌肽。穿透肽使肽进入细菌细胞,而淀粉样结构域通过与功能性细菌蛋白共聚集提供抗菌作用。我们已经证明了 R23F、R23DI 和 R23EI 杂合肽对 、耐甲氧西林金黄色葡萄球菌(MRSA)、 、 和 的抗菌作用。R23F、R23DI 和 R23EI 可作为针对对抗生素耐药的革兰氏阳性和革兰氏阴性细菌的抗菌肽。

https://cdn.ncbi.nlm.nih.gov/pmc/blobs/21d9/8745237/f1530a8396b2/ijms-23-00524-g002.jpg

文献AI研究员

20分钟写一篇综述,助力文献阅读效率提升50倍。

立即体验

用中文搜PubMed

大模型驱动的PubMed中文搜索引擎

马上搜索

文档翻译

学术文献翻译模型,支持多种主流文档格式。

立即体验