Suppr超能文献

免疫调节分子的差异表达与可靶向突变的存在之间的关联可能为临床试验的合理设计提供信息。

Association of differential expression of immunoregulatory molecules and presence of targetable mutations may inform rational design of clinical trials.

机构信息

NantHealth Inc, Santa Cruz, USA.

WIN Consortium for Precision Medicine, San Diego.

出版信息

ESMO Open. 2022 Feb;7(1):100396. doi: 10.1016/j.esmoop.2022.100396. Epub 2022 Feb 12.

Abstract

BACKGROUND

Immune checkpoint inhibitors (ICIs) and genomic biomarker-driven targeted therapies have revolutionized the modern oncologic treatment arsenal. The next step has been to combine targeted agents and ICIs. In doing so, some combination regimens may be more logical than others.

PATIENTS AND METHODS

Whole-exome and whole-transcriptome sequencing were performed on 2739 unselected later-stage clinical cases from 24 solid tumor subtypes in the NantHealth database, and data were also curated from 5746 similarly sequenced patients across 28 solid tumor subtypes in The Cancer Genome Atlas (TCGA). Significant differential expression of 10 immunoregulatory molecules [IRMs (genes)] was analyzed for association with mutant versus wild-type genes.

RESULTS

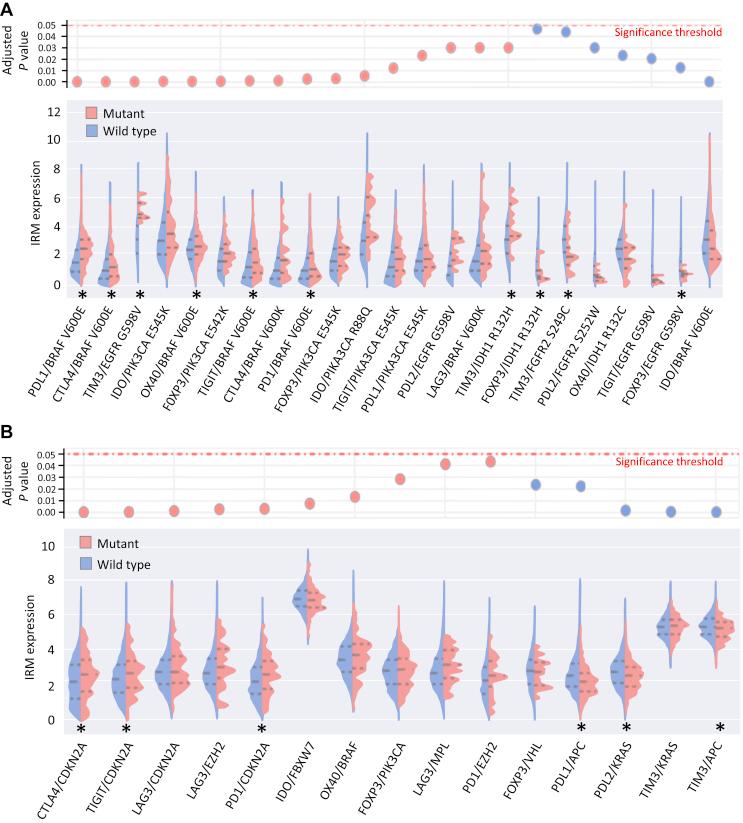
Twenty-three significant associations between currently actionable variants and RNA-expressed checkpoint genes were identified in the TCGA cases; 10 were validated in the external cohort of 2739 clinical cases from NantHealth (P values were adjusted using Benjamini-Hochberg multiple hypothesis correction to reduce false-discovery rate). Within the same 5746 TCGA profiles, 2740 TCGA patients were identified as having one or more potentially oncogenic single-nucleotide variant (SNV) mutation within an established 50-gene hotspot panel. Of the 50 genes, SNVs within 15 were found to be significantly associated with differential expression of at least one IRM after adjusting for tissue enrichment; six were confirmed significant associations in an independent set of 2739 clinical cases from NantHealth.

CONCLUSIONS

Logically combining ICIs with targeted therapies may offer unique treatment strategies for patients with cancer. The presence of specific mutations impacts the expression of IRMs, an observation of potential importance for selecting combinations of gene- and immune-targeted therapeutics.

摘要

背景

免疫检查点抑制剂(ICIs)和基于基因组生物标志物的靶向治疗已经彻底改变了现代肿瘤治疗手段。下一步是将靶向药物与 ICIs 联合使用。在这样做的过程中,一些联合治疗方案可能比其他方案更合理。

患者与方法

对 NantHealth 数据库中 24 种实体肿瘤亚型的 2739 例未经选择的晚期临床病例进行了全外显子组和全转录组测序,并对来自 28 种实体肿瘤亚型的 5746 例同样经过测序的患者进行了 TCGA 数据整理。分析了 10 个免疫调节分子(IRM(基因))的差异表达与突变型与野生型基因的关系。

结果

在 TCGA 病例中发现了 23 个与目前可操作的变异体和 RNA 表达的检查点基因之间的显著关联;在来自 NantHealth 的 2739 例临床病例的外部队列中验证了其中 10 个(使用 Benjamini-Hochberg 多重假设校正来调整 P 值,以降低假发现率)。在同一 5746 个 TCGA 病例中,有 2740 个 TCGA 病例被确定在一个已建立的 50 个基因热点面板内存在一个或多个潜在致癌的单核苷酸变异(SNV)突变。在这 50 个基因中,在调整组织富集后,至少有一个 IRM 的差异表达与 15 个基因内的 SNV 显著相关;在来自 NantHealth 的 2739 例临床病例的独立数据集中有 6 个被证实存在显著关联。

结论

将 ICIs 与靶向治疗进行逻辑结合可能为癌症患者提供独特的治疗策略。特定突变的存在会影响 IRM 的表达,这一观察结果对于选择基因和免疫靶向治疗的组合具有潜在的重要意义。

https://cdn.ncbi.nlm.nih.gov/pmc/blobs/b259/8850727/f27065b79519/gr1.jpg

文献AI研究员

20分钟写一篇综述,助力文献阅读效率提升50倍。

立即体验

用中文搜PubMed

大模型驱动的PubMed中文搜索引擎

马上搜索

文档翻译

学术文献翻译模型,支持多种主流文档格式。

立即体验