Suppr超能文献

基于 LASSO 机器学习和生物信息学分析鉴定三阴性乳腺癌的关键预后基因。

Identification of Key Prognostic Genes of Triple Negative Breast Cancer by LASSO-Based Machine Learning and Bioinformatics Analysis.

机构信息

Department of Bioinformatics and Medical Engineering, Asia University, Taichung 41354, Taiwan.

Institute of Statistical Science, Academia Sinica, Taipei 11529, Taiwan.

出版信息

Genes (Basel). 2022 May 18;13(5):902. doi: 10.3390/genes13050902.

Abstract

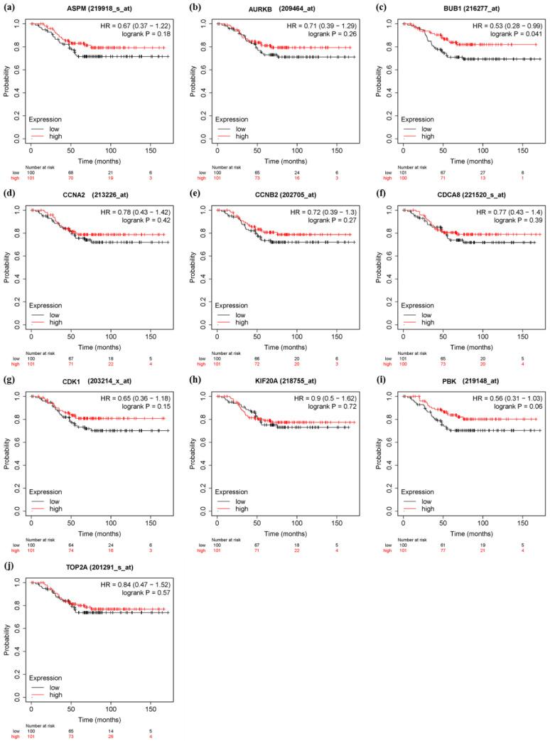
Improved insight into the molecular mechanisms of triple negative breast cancer (TNBC) is required to predict prognosis and develop a new therapeutic strategy for targeted genes. The aim of this study is to identify key genes which may affect the prognosis of TNBC patients by bioinformatic analysis. In our study, the RNA sequencing (RNA-seq) expression data of 116 breast cancer lacking ER, PR, and HER2 expression and 113 normal tissues were downloaded from The Cancer Genome Atlas (TCGA). We screened out 147 differentially co-expressed genes in TNBC compared to non-cancerous tissue samples by using weighted gene co-expression network analysis (WGCNA) and differential gene expression analysis. Then, Gene Ontology (GO) and Kyoto Encyclopedia of Genes and Genomes (KEGG) pathway enrichment analyses were constructed, revealing that 147 genes were mainly enriched in nuclear division, chromosomal region, ATPase activity, and cell cycle signaling. After using Cytoscape software for protein-protein interaction (PPI) network analysis and LASSO feature selection, a total of fifteen key genes were identified. Among them, BUB1 and CENPF were significantly correlated with the overall survival rate (OS) difference of TNBC patients (p value < 0.05). In addition, BUB1, CCNA2, and PACC1 showed significant poor disease-free survival (DFS) in TNBC patients (p value < 0.05), and may serve as candidate biomarkers in TNBC diagnosis. Thus, our results collectively suggest that BUB1, CCNA2, and PACC1 genes could play important roles in the progression of TNBC and provide attractive therapeutic targets.

摘要

为了预测三阴性乳腺癌 (TNBC) 的预后并开发针对靶向基因的新治疗策略,需要深入了解其分子机制。本研究旨在通过生物信息学分析,鉴定可能影响 TNBC 患者预后的关键基因。在本研究中,我们从癌症基因组图谱 (TCGA) 下载了 116 例缺乏 ER、PR 和 HER2 表达的乳腺癌和 113 例正常组织的 RNA 测序 (RNA-seq) 表达数据。我们通过加权基因共表达网络分析 (WGCNA) 和差异基因表达分析筛选出 147 个在 TNBC 与非癌组织样本中差异共表达的基因。然后,进行了基因本体论 (GO) 和京都基因与基因组百科全书 (KEGG) 通路富集分析,结果表明 147 个基因主要富集于核分裂、染色体区域、ATP 酶活性和细胞周期信号转导。使用 Cytoscape 软件进行蛋白质-蛋白质相互作用 (PPI) 网络分析和 LASSO 特征选择后,共鉴定出 15 个关键基因。其中,BUB1 和 CENPF 与 TNBC 患者总生存率 (OS) 差异显著相关 (p 值<0.05)。此外,BUB1、CCNA2 和 PACC1 在 TNBC 患者中无病生存期 (DFS) 明显较差 (p 值<0.05),可能作为 TNBC 诊断的候选生物标志物。因此,我们的研究结果表明,BUB1、CCNA2 和 PACC1 基因可能在 TNBC 的进展中发挥重要作用,并为 TNBC 的治疗提供有吸引力的靶点。

https://cdn.ncbi.nlm.nih.gov/pmc/blobs/42c5/9140789/8dafc4479563/genes-13-00902-g001.jpg

文献AI研究员

20分钟写一篇综述,助力文献阅读效率提升50倍。

立即体验

用中文搜PubMed

大模型驱动的PubMed中文搜索引擎

马上搜索

文档翻译

学术文献翻译模型,支持多种主流文档格式。

立即体验