Suppr超能文献

地区层面的社会经济剥夺、非本国居民身份与新冠疫情发病率:德国的一项纵向时空分析

Area-level socioeconomic deprivation, non-national residency, and Covid-19 incidence: A longitudinal spatiotemporal analysis in Germany.

作者信息

Rohleder Sven, Costa Dr Diogo, Bozorgmehr Prof Kayvan

机构信息

Department of Population Medicine and Health Services Research, School of Public Health, Bielefeld University, Universitätsstraße 25, 33501 Bielefeld, Bielefeld, Germany.

Section Health Equity Studies & Migration, Department of General Practice and Health Services Research, University Hospital Heidelberg, Im Neuenheimer Feld 130.3, 69120 Heidelberg, Heidelberg, Germany.

出版信息

EClinicalMedicine. 2022 Jul;49:101485. doi: 10.1016/j.eclinm.2022.101485. Epub 2022 Jun 13.

Abstract

BACKGROUND

Socioeconomic conditions affect the dynamics of the Covid-19 pandemic. We analysed the association between area-level socioeconomic deprivation, proportion of non-nationals, and incidence of Covid-19 infections in Germany.

METHODS

Using linked nationally representative data at the level of 401 German districts from three waves of infection (January-2020 to May-2021), we fitted Bayesian spatiotemporal models to assess the association between socioeconomic deprivation, and proportion of non-nationals with Covid-19 incidence, controlling for age, sex, vaccination coverage, settlement structure, and spatial and temporal effects. We estimated risk ratios (RR) and corresponding 95% credible intervals (95% CrI). We further examined the deprivation domains (education, income, occupation), interactions between deprivation, sex and the proportion of non-nationals, and explored potential pathways from deprivation to Covid-19 incidence.

FINDINGS

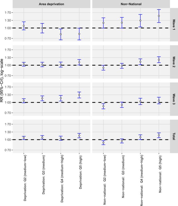
Covid-19 incidence risk was 15% higher (RR=1·15, 95%-CrI=1·06-1·24) in areas classified with the highest deprivation quintile (Q5) compared to the least deprived areas (Q1). Medium-low (Q2), medium (Q3), and medium-high (Q4) deprived districts showed 6% (1·06, 1·00-1·12), 8% (1·08, 1·01-1·15), and 5% (1·05, 0·98-1·13) higher risk, respectively, compared to the least deprived. Districts with higher proportion of non-nationals showed higher incidence risk compared to districts with lowest proportion, but the association weakened across the three waves. During the first wave, an inverse association was observed with highest incidence risk in least deprived areas (Q1). Deprivation interacted with sex, but not with the proportion of non-nationals.

INTERPRETATION

Socioeconomic deprivation, and proportion of non-nationals are independently associated with the incidence of Covid-19. Regional planning of non-pharmaceutical interventions and vaccination strategies would benefit from consideration of area-level deprivation and non-national residency.

FUNDING

The study was funded by the German Ministry of Health (ZMV I 1 - 25 20 COR 410).

摘要

背景

社会经济状况影响新冠疫情的动态变化。我们分析了德国地区层面的社会经济剥夺程度、非本国居民比例与新冠感染发病率之间的关联。

方法

利用来自德国401个地区的具有全国代表性的三轮感染数据(2020年1月至2021年5月),我们拟合了贝叶斯时空模型,以评估社会经济剥夺程度和非本国居民比例与新冠发病率之间的关联,并控制了年龄、性别、疫苗接种覆盖率、居住结构以及空间和时间效应。我们估计了风险比(RR)和相应的95%可信区间(95%CrI)。我们进一步研究了剥夺领域(教育、收入、职业)、剥夺与性别以及非本国居民比例之间的相互作用,并探索了从剥夺到新冠发病率的潜在途径。

研究结果

与最不贫困地区(Q1)相比,处于最高贫困五分位数(Q5)的地区新冠发病率风险高15%(RR=1.15,95%CrI=1.06-1.24)。与最不贫困地区相比,中低贫困(Q2)、中等贫困(Q3)和中高贫困(Q4)地区的风险分别高6%(1.06,1.00-1.12)、8%(1.08,1.01-1.15)和5%(1.05,0.98-1.13)。非本国居民比例较高的地区与比例最低的地区相比,发病率风险更高,但这种关联在三轮疫情中有所减弱。在第一波疫情期间,在最不贫困地区(Q1)观察到相反的关联,发病率风险最高。剥夺与性别存在相互作用,但与非本国居民比例不存在相互作用。

解读

社会经济剥夺程度和非本国居民比例与新冠发病率独立相关。非药物干预措施和疫苗接种策略的区域规划将受益于对地区层面剥夺程度和非本国居民居住情况的考虑。

资金来源

该研究由德国卫生部资助(ZMV I 1 - 25 20 COR 410)。

https://cdn.ncbi.nlm.nih.gov/pmc/blobs/f1a6/9305008/671dbdbc9017/gr1.jpg

文献AI研究员

20分钟写一篇综述,助力文献阅读效率提升50倍。

立即体验

用中文搜PubMed

大模型驱动的PubMed中文搜索引擎

马上搜索

文档翻译

学术文献翻译模型,支持多种主流文档格式。

立即体验