Suppr超能文献

叶酸:来源、化学性质、吸收、代谢、对家禽生产性能和健康的有益作用

Folic Acid: Sources, Chemistry, Absorption, Metabolism, Beneficial Effects on Poultry Performance and Health.

作者信息

Pertiwi Herinda, Nur Mahendra Mohamad Yusril, Kamaludeen Juriah

机构信息

Department of Health Studies, Faculty of Vocational Studies, Airlangga University, Jalan Dharmawangsa Dalam 28-30, Surabaya 60286, Indonesia.

Department of Animal Science and Fishery, University Putra Malaysia Bintulu Serawak Campus, Nyabau Road, Bintulu 97008, Serawak, Malaysia.

出版信息

Vet Med Int. 2022 Aug 19;2022:2163756. doi: 10.1155/2022/2163756. eCollection 2022.

Abstract

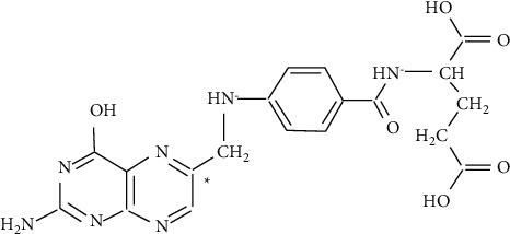
Recently, there has been an increasing interest in the study of the effects of folic acid (FA) on poultry because it was observed that FA could overcome problems in poultry health while improving its performance. FA, or folate, is a water-soluble B vitamin essential in poultry, so FA intake must be available in the feed. Sources of FA in feed come from plants or animals, and animal sources have relatively more stable FA. The ingested FA will be absorbed in the intestinal lumen and transported into the liver through the blood vessels. Therefore, FA has a positive effect on the performance and health status of poultry. The effect of FA on poultry performance is to increase reproductive tract development, FA content in eggs, hatchability, weight gain, average initial body weight, feed intake, relative growth rate, chick body weight, breast fillet percentage, and reduce FCR and white striping score. At the same time, the effect on poultry health influences antioxidant activities, thyroid hormones, blood biochemicals, anti-inflammatory gene expressions, and immune responses. The present review deals with FA sources, chemistry, absorption, metabolism, effects on performance, and poultry health, which are based on valid basic information.

摘要

最近,人们对叶酸(FA)对家禽影响的研究兴趣日益浓厚,因为据观察,叶酸可以克服家禽健康方面的问题,同时提高其生产性能。叶酸(FA),即维生素B9,是家禽必需的水溶性维生素,因此饲料中必须提供叶酸摄入量。饲料中的叶酸来源来自植物或动物,动物来源的叶酸相对更稳定。摄入的叶酸将在肠腔内被吸收,并通过血管输送到肝脏。因此,叶酸对家禽的生产性能和健康状况有积极影响。叶酸对家禽生产性能的影响包括增加生殖道发育、蛋中的叶酸含量、孵化率、体重增加、平均初始体重、采食量、相对生长率、雏鸡体重、胸肉百分比,并降低料肉比和白条评分。同时,对家禽健康的影响涉及抗氧化活性、甲状腺激素、血液生化指标、抗炎基因表达和免疫反应。本综述基于有效的基础信息,探讨了叶酸的来源、化学性质、吸收、代谢、对生产性能的影响以及家禽健康。

https://cdn.ncbi.nlm.nih.gov/pmc/blobs/51b0/9417761/4a0f9310f70e/VMI2022-2163756.001.jpg

文献AI研究员

20分钟写一篇综述,助力文献阅读效率提升50倍。

立即体验

用中文搜PubMed

大模型驱动的PubMed中文搜索引擎

马上搜索

文档翻译

学术文献翻译模型,支持多种主流文档格式。

立即体验