Suppr超能文献

免疫特征在预测免疫治疗癌症患者结局中的作用。

The role of immune profile in predicting outcomes in cancer patients treated with immunotherapy.

机构信息

Department of Radiological, Oncological and Pathological Science, Sapienza University of Rome, Rome, Italy.

Department of Molecular Medicine, Sapienza University of Rome, Rome, Italy.

出版信息

Front Immunol. 2022 Nov 3;13:974087. doi: 10.3389/fimmu.2022.974087. eCollection 2022.

Abstract

BACKGROUND

Despite the efficacy of immunotherapy, only a small percentage of patients achieves a long-term benefit in terms of overall survival. The aim of this study was to define an immune profile predicting the response to immune checkpoint inhibitors (ICIs).

METHODS

Patients with advanced solid tumors, who underwent ICI treatment were enrolled in this prospective study. Blood samples were collected at the baseline. Thirteen soluble immune checkpoints, 3 soluble adhesion molecules, 5 chemokines and 11 cytokines were analyzed. The results were associated with oncological outcomes.

RESULTS

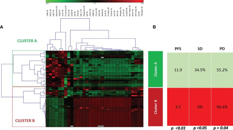
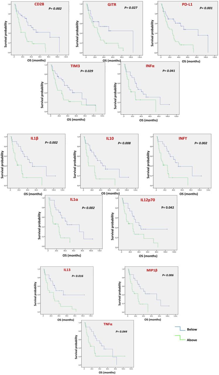
Regardless of tumor type, patients with values of sTIM3, IFNα, IFNγ, IL1β, IL1α, IL12p70, MIP1β, IL13, sCD28, sGITR, sPDL1, IL10 and TNFα below the median had longer overall survival (p<0.05). By using cluster analysis and grouping the patients according to the trend of the molecules, two clusters were found. Cluster A had a significantly higher mean progression free survival (Cluster A=11.9 months vs Cluster B=3.5 months, p<0.01), a higher percentage of disease stability (Cluster A=34.5% vs. Cluster B=0%, p<0.05) and a lower percentage of disease progression (Cluster A=55.2% vs. Cluster B = 94.4%, p=0.04).

CONCLUSION

The combined evaluation of soluble molecules, rather than a single circulating factor, may be more suitable to represent the fitness of the immune system status in each patient and could allow to identify two different prognostic and predictive outcome profiles.

摘要

背景

尽管免疫疗法有效,但只有一小部分患者在总体生存方面获得长期获益。本研究旨在确定一种预测免疫检查点抑制剂(ICI)反应的免疫谱。

方法

本前瞻性研究纳入了接受 ICI 治疗的晚期实体瘤患者。在基线时采集血液样本。分析了 13 种可溶性免疫检查点、3 种可溶性黏附分子、5 种趋化因子和 11 种细胞因子。结果与肿瘤学结果相关联。

结果

无论肿瘤类型如何,sTIM3、IFNα、IFNγ、IL1β、IL1α、IL12p70、MIP1β、IL13、sCD28、sGITR、sPDL1、IL10 和 TNFα 值低于中位数的患者总生存期更长(p<0.05)。通过聚类分析并根据分子的趋势对患者进行分组,发现了两个聚类。A 聚类的无进展生存期明显更长(A 聚类=11.9 个月 vs B 聚类=3.5 个月,p<0.01),疾病稳定率更高(A 聚类=34.5% vs. B 聚类=0%,p<0.05),疾病进展率更低(A 聚类=55.2% vs. B 聚类=94.4%,p=0.04)。

结论

与单一循环因子相比,可溶性分子的联合评估可能更适合代表每个患者的免疫系统状态适应性,并可以识别两种不同的预后和预测结果特征。

https://cdn.ncbi.nlm.nih.gov/pmc/blobs/480f/9671166/a39de1c9cbe4/fimmu-13-974087-g001.jpg

文献AI研究员

20分钟写一篇综述,助力文献阅读效率提升50倍。

立即体验

用中文搜PubMed

大模型驱动的PubMed中文搜索引擎

马上搜索

文档翻译

学术文献翻译模型,支持多种主流文档格式。

立即体验