Suppr超能文献

一种基于卧室的多模式“智能”闹钟系统对减轻睡眠惯性影响的功效。

The Efficacy of a Multimodal Bedroom-Based 'Smart' Alarm System on Mitigating the Effects of Sleep Inertia.

作者信息

Campanella Carolina, Byun Kunjoon, Senerat Araliya, Li Linhao, Zhang Rongpeng, Aristizabal Sara, Porter Paige, Bauer Brent

机构信息

Delos Living LLC, New York, NY 10014, USA.

Well Living Lab, Inc., Rochester, MN 55902, USA.

出版信息

Clocks Sleep. 2024 Mar 18;6(1):183-199. doi: 10.3390/clockssleep6010013.

Abstract

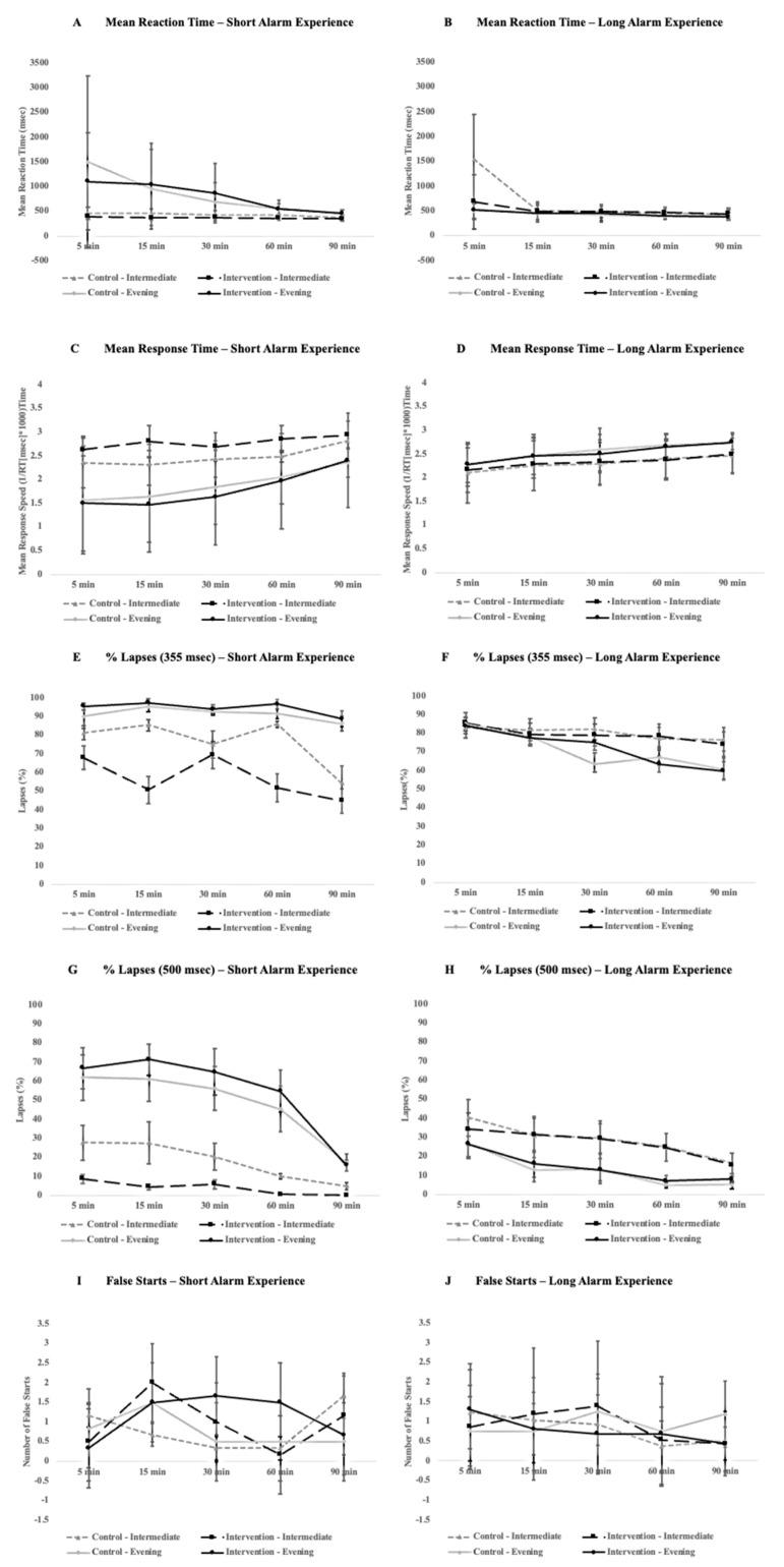
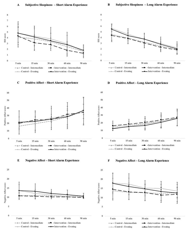
Previous work has demonstrated the modest impact of environmental interventions that manipulate lighting, sound, or temperature on sleep inertia symptoms. The current study sought to expand on previous work and measure the impact of a multimodal intervention that collectively manipulated light, sound, and ambient temperature on sleep inertia. Participants slept in the lab for four nights and were awoken each morning by either a traditional alarm clock or the multimodal intervention. Feelings of sleep inertia were measured each morning through Psychomotor Vigilance Test (PVT) assessments and ratings of sleepiness and mood at five time-points. While there was little overall impact of the intervention, the participant's chronotype and the length of the lighting exposure on intervention mornings both influenced sleep inertia symptoms. Moderate evening types who received a shorter lighting exposure (≤15 min) demonstrated more lapses relative to the control condition, whereas intermediate types exhibited a better response speed and fewer lapses. Conversely, moderate evening types who experienced a longer light exposure (>15 min) during the intervention exhibited fewer false alarms over time. The results suggest that the length of the environmental intervention may play a role in mitigating feelings of sleep inertia, particularly for groups who might exhibit stronger feelings of sleep inertia, including evening types.

摘要

先前的研究表明,调节光照、声音或温度的环境干预措施对睡眠惯性症状的影响不大。当前的研究旨在扩展先前的工作,并测量一种多模式干预措施的影响,该措施综合调节光照、声音和环境温度对睡眠惯性的影响。参与者在实验室中睡了四个晚上,每天早上通过传统闹钟或多模式干预措施唤醒。每天早上通过心理运动警觉性测试(PVT)评估以及在五个时间点对困倦和情绪的评分来测量睡眠惯性感受。虽然干预措施总体影响不大,但参与者的昼夜节律类型以及干预早晨的光照暴露时长均会影响睡眠惯性症状。与对照条件相比,接受较短光照暴露(≤15分钟)的中度晚型人表现出更多失误,而中间型人则表现出更好的反应速度和更少的失误。相反,在干预期间经历较长光照暴露(>15分钟)的中度晚型人随着时间推移出现的误报较少。结果表明,环境干预的时长可能在减轻睡眠惯性感受方面发挥作用,特别是对于可能表现出更强睡眠惯性感受的群体,包括晚型人。

https://cdn.ncbi.nlm.nih.gov/pmc/blobs/1154/10969141/bd0c70addee2/clockssleep-06-00013-g001.jpg

文献AI研究员

20分钟写一篇综述,助力文献阅读效率提升50倍。

立即体验

用中文搜PubMed

大模型驱动的PubMed中文搜索引擎

马上搜索

文档翻译

学术文献翻译模型,支持多种主流文档格式。

立即体验