Suppr超能文献

基于 2019 年全球疾病负担研究,预测未来 25 年艾滋病的疾病负担及其预测水平。

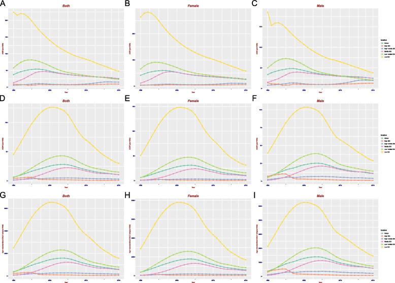
Disease burden of AIDS in last 30-year period and its predicted level in next 25-years based on the global burden disease 2019.

机构信息

Center for Evidence-Based Medicine, Taihe Hospital, Hubei University of Medicine, No. 32, Renmin South Road, Shiyan, 442000, Hubei, China.

The First Affiliated Hospital of Xinxiang Medical University, Xinxiang, 453003, Henan, China.

出版信息

BMC Public Health. 2024 Sep 2;24(1):2384. doi: 10.1186/s12889-024-19934-4.

Abstract

BACKGROUND

This study examines global trends in acquired immune deficiency syndrome (AIDS) incidence, mortality, and disability-adjusted life years (DALYs) from 1990 to 2019, focusing on regional disparities in AIDS incidence, mortality, and DALYs across various levels of socio-demographic index (SDI). It also investigates variations in AIDS incidence, mortality, and DALYs across different age groups, and projects specific trends for the next 25 years.

METHODS

Comprehensive data on AIDS from 1990 to 2019 in 204 countries and territories was obtained from a GBD study. This included information on AIDS incidence, mortality, DALYs, and age-standardized rates (ASRs). Projections for AIDS incidence and mortality over the next 25 years were generated using the Bayesian age-period-cohort model.

RESULTS

From 1990 to 2019, the global incidence of HIV cases increased from 1,989,282 to 2,057,710, while the age-standardized incidence rate (ASIR) decreased from 37.59 to 25.24 with an estimated annual percentage change (EAPC) of -2.38. The ASIR exhibited an upward trend in high SDI and high-middle SDI regions, a stable trend in middle SDI regions, and a downward trend in low-middle SDI and low SDI regions. In regions with higher SDI, the ASIR was higher in males than in females, while the opposite was observed in lower SDI regions. Throughout 1990 to 2019, the age-standardized death rate (ASDR) and age-standardized DALY rate remained stable, with EAPCs of 0.24 and 0.08 respectively. Countries with the highest HIV burden affecting women and children under five years of age are primarily situated in lower SDI regions, particularly in sub-Saharan Africa. Projections indicate a significant continued decline in the age-standardized incidence and mortality rates of AIDS over the next 25 years, for both overall and by gender.

CONCLUSIONS

The global ASIR decreased from 1990 to 2019. Higher incidence and death rates were observed in the lower SDI region, indicating a greater susceptibility to AIDS among women and < 15 years old. This underscores the urgent need for increased resources to combat AIDS in this region, with focused attention on protecting women and < 15 years old as priority groups. The AIDS epidemic remained severe in sub-Saharan Africa. Projections for the next 25 years indicate a substantial and ongoing decline in both age-standardized incidence and mortality rates.

摘要

背景

本研究旨在探讨 1990 年至 2019 年期间全球艾滋病发病率、死亡率和伤残调整生命年(DALYs)的变化趋势,并重点关注不同社会人口指数(SDI)水平下艾滋病发病率、死亡率和 DALYs 的区域差异。同时,本研究还分析了不同年龄组艾滋病发病率、死亡率和 DALYs 的变化趋势,并对未来 25 年的特定趋势进行了预测。

方法

本研究综合了来自全球疾病负担(GBD)研究的 204 个国家和地区 1990 年至 2019 年艾滋病发病率、死亡率、DALYs 和年龄标准化率(ASR)的全面数据。未来 25 年艾滋病发病率和死亡率的预测采用贝叶斯年龄-时期-队列模型生成。

结果

1990 年至 2019 年,全球 HIV 病例的发病率从 1,989,282 例增加到 2,057,710 例,而年龄标准化发病率(ASIR)从 37.59 例下降到 25.24 例,估计年变化百分比(EAPC)为-2.38。高社会人口指数和高中等社会人口指数地区的 ASIR 呈上升趋势,中等社会人口指数地区的 ASIR 呈稳定趋势,低中等社会人口指数和低社会人口指数地区的 ASIR 呈下降趋势。在社会人口指数较高的地区,男性的 ASIR 高于女性,而在社会人口指数较低的地区则相反。1990 年至 2019 年期间,年龄标准化死亡率(ASDR)和年龄标准化 DALY 率保持稳定,EAPC 分别为 0.24 和 0.08。受艾滋病影响的妇女和五岁以下儿童负担最高的国家主要位于低社会人口指数地区,特别是撒哈拉以南非洲地区。预测表明,未来 25 年,艾滋病的年龄标准化发病率和死亡率将继续显著下降,无论总体情况还是按性别划分都是如此。

结论

全球 ASIR 从 1990 年到 2019 年下降。较低社会人口指数地区的发病率和死亡率较高,表明女性和<15 岁人群对艾滋病的易感性更高。这突显了在该地区增加资源以对抗艾滋病的紧迫性,重点关注保护妇女和<15 岁的儿童作为优先群体。撒哈拉以南非洲地区的艾滋病疫情仍然严重。未来 25 年的预测表明,年龄标准化发病率和死亡率都将大幅持续下降。

https://cdn.ncbi.nlm.nih.gov/pmc/blobs/124a/11370016/53bcbdf0565f/12889_2024_19934_Fig1_HTML.jpg

文献AI研究员

20分钟写一篇综述,助力文献阅读效率提升50倍。

立即体验

用中文搜PubMed

大模型驱动的PubMed中文搜索引擎

马上搜索

文档翻译

学术文献翻译模型,支持多种主流文档格式。

立即体验