Suppr超能文献

回顾性胆道癌患者系列中一线和二线化疗的治疗顺序及独立结局

Treatment Sequencing and Independent Outcomes of First- and Second-Line Chemotherapy in a Retrospective Series of Patients with Biliary Tract Cancer.

作者信息

Frega Giorgio, Palloni Andrea, Deiana Chiara, Rizzo Alessandro, Ricci Angela Dalia, Brandi Giovanni

机构信息

Osteoncology, Soft Tissue and Bone Sarcomas, Innovative Therapy Unit, IRCCS Istituto Ortopedico Rizzoli, 40136 Bologna, Italy.

Medical Oncology, IRCCS Azienda Ospedaliero-Universitaria di Bologna, 40138 Bologna, Italy.

出版信息

J Clin Med. 2024 Nov 29;13(23):7262. doi: 10.3390/jcm13237262.

Abstract

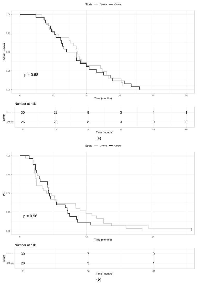
Biliary tract cancers (BTCs) are aggressive neoplasms with limited therapeutic options. The amount of prospective evidence is poor, and limited data are available on the impact of treatment sequencing on survival. Here we report a real-world experience of patients with advanced BTC treated with at least three lines of therapy. We evaluated the impact of sequential treatments, and we further compared the efficacy of Gemcitabine/Cisplatin (GemCis) and mFOLFOX to other first- and second-line chemotherapy regimens, respectively. : Data on 60 patients with locally advanced or metastatic BTC under the care of a single Italian referral hospital and treated with at least three lines of chemotherapy were retrospectively collected. Data from 56 patients were included in the analysis. Survival analyses were performed using R software (v1.2.5042). : We compared the outcomes of patients treated according to the "standard" pre-immunotherapy sequence (GemCis and mFOLFOX in the first and second lines, respectively) versus those treated with all other combinations ("control" group). Our analysis did not show significant survival differences between the two groups. However, it should be noted that we selected long-survival patients by including only those who received at least three or more lines of chemotherapy. Focusing on the first-line setting, no significant differences in both mPFS and mOS emerged by comparing GemCis versus other doublets (mainly Gemcitabine/Oxaliplatin). Similarly, mPFS and mOS from second-line treatment did not statistically differ between patients treated with mFOLFOX versus those treated with other regimens (71% chemotherapy doublets). Our series provides real-world outcomes of patients with advanced BTC before the approval of immunotherapy. Even considering the monocentric and retrospective design, our study represents one of the first analyses on the impact of sequential treatment strategies in patients with BTC.

摘要

胆管癌(BTCs)是侵袭性肿瘤,治疗选择有限。前瞻性证据数量不足,关于治疗顺序对生存影响的数据也很有限。在此,我们报告了接受至少三线治疗的晚期BTC患者的真实世界经验。我们评估了序贯治疗的影响,并分别将吉西他滨/顺铂(GemCis)和改良FOLFOX方案与其他一线和二线化疗方案的疗效进行了比较。:回顾性收集了一家意大利转诊医院诊治的60例局部晚期或转移性BTC患者的数据,这些患者接受了至少三线化疗。分析纳入了56例患者的数据。使用R软件(v1.2.5042)进行生存分析。:我们比较了按照“标准”免疫治疗前顺序治疗的患者(一线和二线分别为GemCis和改良FOLFOX方案)与接受所有其他组合治疗的患者(“对照组”)的结局。我们的分析未显示两组之间存在显著的生存差异。然而,应该注意的是,我们仅纳入了接受至少三线或更多线化疗的长生存患者。着眼于一线治疗情况,比较GemCis与其他双联方案(主要是吉西他滨/奥沙利铂)时,无进展生存期(mPFS)和总生存期(mOS)均无显著差异。同样,接受改良FOLFOX方案治疗的患者与接受其他方案治疗的患者(71%为化疗双联方案)相比,二线治疗的mPFS和mOS在统计学上也无差异。我们的系列研究提供了免疫治疗获批前晚期BTC患者的真实世界结局。即使考虑到单中心和回顾性设计,我们的研究仍是首批关于序贯治疗策略对BTC患者影响的分析之一。

https://cdn.ncbi.nlm.nih.gov/pmc/blobs/d432/11642358/220d544b3aec/jcm-13-07262-g001.jpg

文献AI研究员

20分钟写一篇综述,助力文献阅读效率提升50倍。

立即体验

用中文搜PubMed

大模型驱动的PubMed中文搜索引擎

马上搜索

文档翻译

学术文献翻译模型,支持多种主流文档格式。

立即体验