Suppr超能文献

慢性肾病的多民族多基因风险评分与非裔美国人患高血压的风险增加相关。

A multi-ethnic polygenic risk score for chronic kidney disease is associated with increased risk of hypertension in African American individuals.

作者信息

Kakar Aastha, Litkowski Elizabeth M, Scadden Ashley W, Anwar Mohammad Y, Konigsberg Iain R, Stanislawski Maggie A, DuPre Natalie C, Mitra Riten, Baumgartner Richard, Rsffield Laura M, Lange Ethan M, Lange Leslie A, Taylor Kira C

机构信息

University of Louisville.

University of Colorado Anschutz Medical Campus.

出版信息

Res Sq. 2025 Jun 24:rs.3.rs-6674221. doi: 10.21203/rs.3.rs-6674221/v1.

Abstract

BACKGROUND

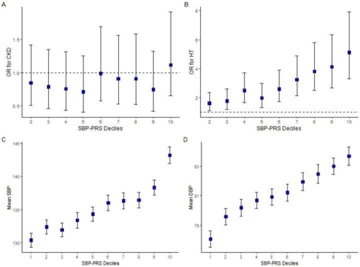
Hypertension (HT) and chronic kidney diseases (CKD) are complex conditions having both genetic and environmental contributions, disproportionately affecting African American (AA) individuals. Recent evidence is contradictory regarding the directionality of the relationship between the two conditions. This study investigates the relationship between CKD and blood pressure (BP)-related traits with CKD and BP by generating polygenic risk scores (PRSs) for CKD and BP-related traits in 2,995 AA participants of the Jackson Heart Study.

METHODS

We used multivariable regression models to evaluate associations of each PRS with CKD, HT, systolic blood pressure (SBP) and diastolic blood pressure (DBP), adjusting for age, sex, and genetic ancestry.

RESULTS

We observed positive associations for the CKD PRS (CKD-PRS) with both CKD (OR per standard deviation increase, 95% CI: 1.85, 1.64-2.09) and HT (1.10, 1.01-1.20). Adding the CKD-PRS to a multivariable model for CKD increased the area under the receiver operating curve (ROC) curve by 0.061. The CKD-PRS was also positively associated with DBP (beta = 0.37 mmHg, 95% CI: 0.01-0.73). The BP-PRSs were positively associated with HT, SBP and DBP; however, they were not associated with CKD.

CONCLUSIONS

Our results indicate that genetic predisposition to CKD may increase the risk of hypertension in AA individuals. Our results also align with previous studies in European ancestry individuals that fail to support the causative role of blood pressure in kidney function decline, as we did not find an association between the blood pressure risk scores with CKD. Finally, we found a strong association between the CKD risk score with CKD in AA individuals, supporting its clinical use in an AA population. Overall, our findings provide valuable insights into the genetic underpinnings of CKD and HT in AA individuals.

摘要

背景

高血压(HT)和慢性肾脏病(CKD)是复杂的病症,具有遗传和环境因素,对非裔美国人(AA)的影响尤为严重。关于这两种病症之间关系的方向性,近期证据存在矛盾。本研究通过为杰克逊心脏研究中的2995名非裔美国参与者生成慢性肾脏病和血压相关性状的多基因风险评分(PRS),来探究慢性肾脏病与血压(BP)相关性状之间的关系。

方法

我们使用多变量回归模型评估每个PRS与慢性肾脏病、高血压、收缩压(SBP)和舒张压(DBP)之间的关联,并对年龄、性别和遗传血统进行了调整。

结果

我们观察到慢性肾脏病PRS(CKD-PRS)与慢性肾脏病(每标准差增加的比值比,95%置信区间:1.85,1.64 - 2.09)和高血压(1.10,1.01 - 1.20)均呈正相关。将CKD-PRS添加到慢性肾脏病的多变量模型中,使受试者工作特征曲线(ROC)下面积增加了0.061。CKD-PRS与舒张压也呈正相关(β = 0.37 mmHg,95%置信区间:0.01 - 0.73)。血压PRS与高血压、收缩压和舒张压呈正相关;然而,它们与慢性肾脏病无关。

结论

我们的结果表明,慢性肾脏病的遗传易感性可能会增加非裔美国人患高血压的风险。我们的结果也与之前针对欧洲血统个体的研究一致,这些研究未能支持血压在肾功能下降中的因果作用,因为我们未发现血压风险评分与慢性肾脏病之间存在关联。最后,我们发现非裔美国人中慢性肾脏病风险评分与慢性肾脏病之间存在很强的关联,支持其在非裔人群中的临床应用。总体而言,我们的研究结果为非裔美国人慢性肾脏病和高血压的遗传基础提供了有价值的见解。

https://cdn.ncbi.nlm.nih.gov/pmc/blobs/dec8/12270231/ba68479b5d68/nihpp-rs6674221v1-f0001.jpg

文献AI研究员

20分钟写一篇综述,助力文献阅读效率提升50倍。

立即体验

用中文搜PubMed

大模型驱动的PubMed中文搜索引擎

马上搜索

文档翻译

学术文献翻译模型,支持多种主流文档格式。

立即体验