Suppr超能文献

NKG2D 信号传导导致 NK 细胞介导的儿童 AML 细胞溶解。

NKG2D Signaling Leads to NK Cell Mediated Lysis of Childhood AML.

机构信息

Department of Hematology and Oncology, University Children's Hospital Tübingen, University of Tübingen, Hoppe-Seyler-Straße 1, 72076 Tübingen, Germany.

出版信息

J Immunol Res. 2015;2015:473175. doi: 10.1155/2015/473175. Epub 2015 Jul 8.

Abstract

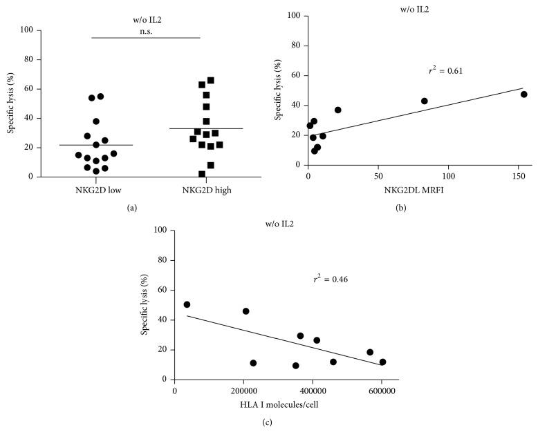
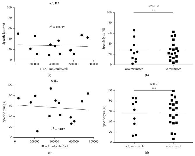
Natural killer cells have been shown to be relevant in the recognition and lysis of acute myeloid leukemia. In childhood acute lymphoblastic leukemia, it was shown that HLA I expression and KIR receptor-ligand mismatch significantly impact ALL cytolysis. We characterized 14 different primary childhood AML blasts by flow cytometry including NKG2D ligands. Further HLA I typing of blasts was performed and HLA I on the AML blasts was quantified. In two healthy volunteer NK cell donors HLA I typing and KIR genotyping were done. Blasts with high NKG2D ligand expression had significantly higher lysis by isolated NK cells. Grouping the blasts by NKG2D ligand expression led to a significant inverse correlation of HLA I expression and cytolysis in NKG2D low blasts. Furthermore, a significant positive correlation of NKG2D ligand expression and blast cytolysis was shown. No impact of KIR ligand-ligand mismatch was found but a significantly increased lysis of homozygous C2 blasts by KIR2DL1 negative NK cells (donor B) was revealed. In conclusion, NKG2D signaling leads to NK cell mediated lysis of childhood AML despite high HLA I expression.

摘要

自然杀伤细胞已被证明在识别和裂解急性髓系白血病中具有相关性。在儿童急性淋巴细胞白血病中,已经表明 HLA I 表达和 KIR 受体配体不匹配显著影响 ALL 细胞裂解。我们通过流式细胞术对 14 种不同的儿童急性髓系白血病原始细胞进行了特征分析,包括 NKG2D 配体。进一步对原始细胞进行 HLA I 分型,并对 AML 原始细胞进行 HLA I 定量。在两名健康志愿者 NK 细胞供体中进行 HLA I 分型和 KIR 基因分型。具有高 NKG2D 配体表达的原始细胞通过分离的 NK 细胞具有显著更高的裂解率。根据 NKG2D 配体表达对原始细胞进行分组,导致 NKG2D 低表达原始细胞的 HLA I 表达与细胞裂解呈显著负相关。此外,还显示了 NKG2D 配体表达与原始细胞裂解之间的显著正相关。没有发现 KIR 配体-配体不匹配的影响,但揭示了 KIR2DL1 阴性 NK 细胞(供体 B)对纯合 C2 原始细胞的裂解显著增加。总之,尽管 HLA I 表达较高,NKG2D 信号仍可导致 NK 细胞介导的儿童 AML 裂解。

https://cdn.ncbi.nlm.nih.gov/pmc/blobs/4c1f/4510257/aff834acb9ab/JIR2015-473175.001.jpg

文献AI研究员

20分钟写一篇综述,助力文献阅读效率提升50倍。

立即体验

用中文搜PubMed

大模型驱动的PubMed中文搜索引擎

马上搜索

文档翻译

学术文献翻译模型,支持多种主流文档格式。

立即体验