Suppr超能文献

一种新型的负载紫杉醇的聚(d,l-丙交酯-共-乙交酯)-吐温80共聚物纳米颗粒,可克服多药耐药性用于肺癌治疗。

A novel paclitaxel-loaded poly(d,l-lactide-co-glycolide)-Tween 80 copolymer nanoparticle overcoming multidrug resistance for lung cancer treatment.

作者信息

Yuan Xun, Ji Wenxiang, Chen Si, Bao Yuling, Tan Songwei, Lu Shun, Wu Kongming, Chu Qian

机构信息

Department of Oncology, Tongji Hospital of Tongji Medical College, Huazhong University of Science and Technology, Wuhan, People's Republic of China.

Lung Tumor Clinical Medical Center, Shanghai Chest Hospital, Shanghai Jiao Tong University, Shanghai, People's Republic of China.

出版信息

Int J Nanomedicine. 2016 May 25;11:2119-31. doi: 10.2147/IJN.S92271. eCollection 2016.

Abstract

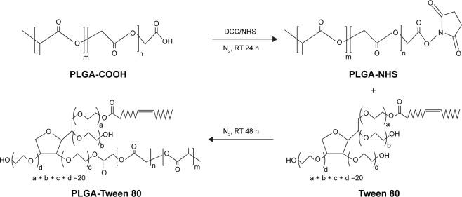
Drug resistance has become a main obstacle for the effective treatment of lung cancer. To address this problem, a novel biocompatible nanoscale package, poly(d,l-lactide-co-glycolide)-Tween 80, was designed and synthesized to overcome paclitaxel (PTX) resistance in a PTX-resistant human lung cancer cell line. The poly(d,l-lactide-co-glycolide) (PLGA)-Tween 80 nanoparticles (NPs) could efficiently load PTX and release the drug gradually. There was an increased level of uptake of PLGA-Tween 80 in PTX-resistant lung cancer cell line A549/T, which achieved a significantly higher level of cytotoxicity than both PLGA NP formulation and Taxol(®). The in vivo antitumor efficacy also showed that PLGA-Tween 80 NP was more effective than Taxol(®), indicating that PLGA-Tween 80 copolymer was a promising carrier for PTX in resistant lung cancer.

摘要

耐药性已成为肺癌有效治疗的主要障碍。为解决这一问题,设计并合成了一种新型生物相容性纳米级包裹体聚(d,l-丙交酯-共-乙交酯)-吐温80,以克服耐紫杉醇(PTX)的人肺癌细胞系中的紫杉醇(PTX)耐药性。聚(d,l-丙交酯-共-乙交酯)(PLGA)-吐温80纳米颗粒(NPs)能够有效负载PTX并逐渐释放药物。在耐PTX的肺癌细胞系A549/T中,PLGA-吐温80的摄取水平有所增加,其细胞毒性水平显著高于PLGA NP制剂和泰素(®)。体内抗肿瘤疗效也表明,PLGA-吐温80 NP比泰素(®)更有效,这表明PLGA-吐温80共聚物是耐药肺癌中PTX的一种有前景的载体。

https://cdn.ncbi.nlm.nih.gov/pmc/blobs/d309/4887048/9380d513c5e8/ijn-11-2119Fig1.jpg

文献AI研究员

20分钟写一篇综述,助力文献阅读效率提升50倍。

立即体验

用中文搜PubMed

大模型驱动的PubMed中文搜索引擎

马上搜索

文档翻译

学术文献翻译模型,支持多种主流文档格式。

立即体验