Suppr超能文献

鉴定和免疫分析肝癌肿瘤微环境中的关键预后基因。

Identification and immunoprofiling of key prognostic genes in the tumor microenvironment of hepatocellular carcinoma.

机构信息

Department of General Surgery, The First Affiliated Hospital of Anhui Medical University, Hefei, China.

Department of General Surgery, Anhui NO.2 Provinicial People's Hospital, Hefei, China.

出版信息

Bioengineered. 2021 Dec;12(1):1555-1575. doi: 10.1080/21655979.2021.1918538.

Abstract

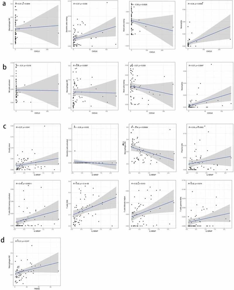
Tumor microenvironment (TME) is involved in the occurrence and development of hepatocellular carcinoma (HCC), and immune cells in the TME have been implicated in its progression and treatment. However, the association of genes involved in the TME with HCC prognosis remains unclear. Thus, in this study, we obtained transcriptomic and clinicopathological data of patients with HCC from The Cancer Genome Atlas to identify key genes in TME associated with HCC prognosis. Stromal and immune cell scores were calculated using the ESTIMATE method, and differentially expressed genes (DEGs) were determined. We identified 830 DEGs, which were further subjected to survival analyses and functional enrichment analysis. Next, we identified prognostic TME-associated DEGs, established a protein-protein interaction (PPI) network, and performed Cox analysis.Consequently, four key prognostic genes (, and ) associated with TME, were identified, in which and may be potential independent prognostic factors. Age, clinical stage, N stage, and risk score were also determined as significant prognostic variables. CIBERSORT was used to predict the constitution and relative content of the immune cells, wherein M0 macrophages were the most closely related to the key genes. In conclusion, , and were associated with HCC prognosis and were important for immune cell invasion into the TME. Additionally, expression may contribute toward favorable prognosis in patients with HCC. Consequently, these genes may serve as potential biomarkers and immunotherapeutic targets for HCC.

摘要

肿瘤微环境(TME)参与了肝细胞癌(HCC)的发生和发展,TME 中的免疫细胞被认为与其进展和治疗有关。然而,与 TME 相关的基因与 HCC 预后的关联尚不清楚。因此,在这项研究中,我们从癌症基因组图谱(The Cancer Genome Atlas)中获得了 HCC 患者的转录组学和临床病理数据,以鉴定与 HCC 预后相关的 TME 中的关键基因。使用 ESTIMATE 方法计算基质和免疫细胞评分,并确定差异表达基因(DEGs)。我们鉴定了 830 个 DEGs,进一步进行了生存分析和功能富集分析。接下来,我们鉴定了预后相关的 TME-DEGs,建立了蛋白质-蛋白质相互作用(PPI)网络,并进行了 Cox 分析。结果,鉴定了 4 个与 TME 相关的关键预后基因(、和),其中和可能是潜在的独立预后因素。年龄、临床分期、N 分期和风险评分也是重要的预后变量。CIBERSORT 用于预测免疫细胞的构成和相对含量,其中 M0 巨噬细胞与关键基因最为密切相关。总之,、和与 HCC 预后相关,对免疫细胞浸润 TME 具有重要作用。此外,的表达可能有助于 HCC 患者的预后。因此,这些基因可能成为 HCC 的潜在生物标志物和免疫治疗靶点。

https://cdn.ncbi.nlm.nih.gov/pmc/blobs/4a4d/8806269/4dd8352525b4/KBIE_A_1918538_UF0001_B.jpg

文献AI研究员

20分钟写一篇综述,助力文献阅读效率提升50倍。

立即体验

用中文搜PubMed

大模型驱动的PubMed中文搜索引擎

马上搜索

文档翻译

学术文献翻译模型,支持多种主流文档格式。

立即体验