Suppr超能文献

童年期虐待对衰老的影响:多种与年龄相关的生物标志物的综合孟德尔随机分析。

Impact of childhood maltreatment on aging: a comprehensive Mendelian randomization analysis of multiple age-related biomarkers.

机构信息

Department of Sleep and Psychology, Chongqing Health Center for Women and Children, Chongqing, 401147, China.

Department of Sleep and Psychology, Women and Children's Hospital of Chongqing Medical University, Chongqing, 401147, China.

出版信息

Clin Epigenetics. 2024 Aug 5;16(1):103. doi: 10.1186/s13148-024-01720-z.

Abstract

BACKGROUND

Childhood maltreatment (CM) is linked to long-term adverse health outcomes, including accelerated biological aging and cognitive decline. This study investigates the relationship between CM and various aging biomarkers: telomere length, facial aging, intrinsic epigenetic age acceleration (IEAA), GrimAge, HannumAge, PhenoAge, frailty index, and cognitive performance.

METHODS

We conducted a Mendelian randomization (MR) study using published GWAS summary statistics. Aging biomarkers included telomere length (qPCR), facial aging (subjective evaluation), and epigenetic age markers (HannumAge, IEAA, GrimAge, PhenoAge). The frailty index was calculated from clinical assessments, and cognitive performance was evaluated with standardized tests. Analyses included Inverse-Variance Weighted (IVW), MR Egger, and Weighted Median (WM) methods, adjusted for multiple comparisons.

RESULTS

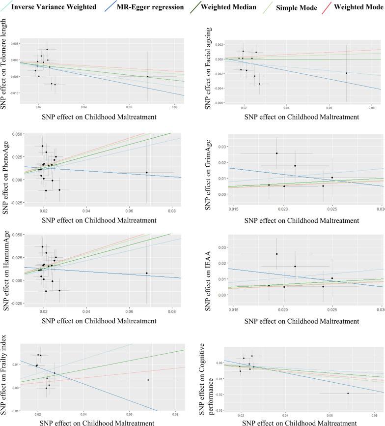
CM was significantly associated with shorter telomere length (IVW: β = - 0.1, 95% CI - 0.18 to - 0.02, pFDR = 0.032) and increased HannumAge (IVW: β = 1.33, 95% CI 0.36 to 2.3, pFDR = 0.028), GrimAge (IVW: β = 1.19, 95% CI 0.19 to 2.2, pFDR = 0.040), and PhenoAge (IVW: β = 1.4, 95% CI 0.12 to 2.68, pFDR = 0.053). A significant association was also found with the frailty index (IVW: β = 0.31, 95% CI 0.13 to 0.49, pFDR = 0.006). No significant associations were found with facial aging, IEAA, or cognitive performance.

CONCLUSIONS

CM is linked to accelerated biological aging, shown by shorter telomere length and increased epigenetic aging markers. CM was also associated with increased frailty, highlighting the need for early interventions to mitigate long-term effects. Further research should explore mechanisms and prevention strategies.

摘要

背景

儿童期虐待(CM)与长期不良健康后果有关,包括加速的生物衰老和认知能力下降。本研究调查了 CM 与各种衰老生物标志物之间的关系:端粒长度、面部衰老、内在表观遗传年龄加速(IEAA)、GrimAge、HannumAge、PhenoAge、脆弱指数和认知表现。

方法

我们使用已发表的 GWAS 汇总统计数据进行了孟德尔随机化(MR)研究。衰老生物标志物包括端粒长度(qPCR)、面部衰老(主观评估)和表观遗传年龄标志物(HannumAge、IEAA、GrimAge、PhenoAge)。脆弱指数是根据临床评估计算的,认知表现是通过标准化测试评估的。分析包括逆方差加权(IVW)、MR Egger 和加权中位数(WM)方法,并进行了多次比较调整。

结果

CM 与端粒长度缩短显著相关(IVW:β=−0.1,95%CI−0.18 至−0.02,pFDR=0.032),且与 HannumAge 增加显著相关(IVW:β=1.33,95%CI 0.36 至 2.3,pFDR=0.028)、GrimAge 增加显著相关(IVW:β=1.19,95%CI 0.19 至 2.2,pFDR=0.040)和 PhenoAge 增加显著相关(IVW:β=1.4,95%CI 0.12 至 2.68,pFDR=0.053)。与脆弱指数也存在显著相关性(IVW:β=0.31,95%CI 0.13 至 0.49,pFDR=0.006)。但与面部衰老、IEAA 或认知表现无显著相关性。

结论

CM 与加速的生物衰老有关,表现为端粒长度缩短和表观遗传衰老标志物增加。CM 还与脆弱性增加有关,这突出表明需要早期干预以减轻长期影响。应进一步研究机制和预防策略。

https://cdn.ncbi.nlm.nih.gov/pmc/blobs/c0c2/11299400/70d7f14be84d/13148_2024_1720_Fig1_HTML.jpg

文献AI研究员

20分钟写一篇综述,助力文献阅读效率提升50倍。

立即体验

用中文搜PubMed

大模型驱动的PubMed中文搜索引擎

马上搜索

文档翻译

学术文献翻译模型,支持多种主流文档格式。

立即体验