Suppr超能文献

早期生活逆境与中国儿童加速生物学衰老测量指标之间的关联。

Association of Early-Life Adversity With Measures of Accelerated Biological Aging Among Children in China.

机构信息

Department of Maternal, Child and Adolescent Health, Anhui Medical University School of Public Health, Hefei, Anhui, China.

Key Laboratory of Population Health Across Life Cycle, Anhui Medical University, Ministry of Education of the People's Republic of China, Hefei, Anhui, China.

出版信息

JAMA Netw Open. 2020 Sep 1;3(9):e2013588. doi: 10.1001/jamanetworkopen.2020.13588.

Abstract

IMPORTANCE

A growing body of literature suggests that exposure to early-life adversity (ELA) is associated with accelerated biological aging, offering 1 mechanism through which ELA may be associated with an increased risk for age-related disease. These investigations, however, have been predominantly cross-sectional and focused on adults and females.

OBJECTIVE

To evaluate associations of threat-related (ie, physical abuse) and deprivation-related (ie, emotional neglect) ELA exposure with cellular and reproductive strategy metrics of biological aging among boys and girls with specific genetic backgrounds around the period of pubertal onset.

DESIGN, SETTING, AND PARTICIPANTS: In this cohort study, 997 boys and girls in grade 1 to grade 3 from 3 large elementary schools were recruited from Bengbu, Anhui Province, China, and were followed up from March 21, 2016 (baseline; wave 1), for 4 consecutive years, through March 25, 2019.

MAIN OUTCOMES AND MEASURES

The outcome was accelerated biological aging in both cellular and reproductive strategy metrics: telomere attrition and age at thelarche (for girls) and testicular maturation (for boys). Multi-informant assessment of exposure to threat-related and deprivation-related ELA was done at baseline (wave 1) and 1-year follow-up (wave 2). The polygenic risk score (PRS) was computed based on 17 single-nucleotide variations for early pubertal timing.

RESULTS

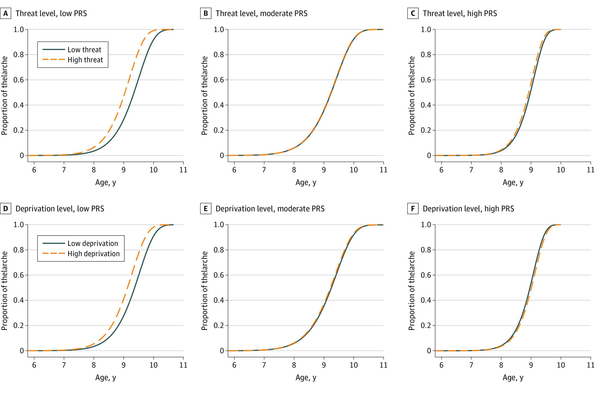
Of the 997 participants (579 girls [58.1%]; mean [SD] age at baseline, 8.0 [0.8] years), 550 (55.2%) reported exposure to threat-related ELA and 443 (44.4%) reported exposure to deprivation-related ELA. Threat-related ELA was associated with onset of thelarche 2.6 months earlier and deprivation-related ELA with onset of thelarche 3.3 months earlier in exposed girls than in unexposed peers; these associations were observed only among girls with a low PRS. Among boys, a similar pattern was found. Threat-related ELA was associated with testicular volume of 4 mL or more 1.4 months earlier and deprivation-related ELA was associated with testicular volume of 4 mL or more 2.3 months earlier than in unexposed peers but only among those with a low PRS. Boys and girls with greater exposure to threats showed a significantly higher percentage of telomere length change during 1-year follow-up, but only among those with low PRS (boys: β = 1.50; 95% CI, 0.80-2.21; P < .001; girls: β = 2.40; 95% CI, 1.78-3.05; P < .001) and moderate PRS (boys: β = 1.09; 95% CI, 0.43-1.75; P = .001; and girls: β = 1.27; 95% CI, 0.77-1.77; P < .001). No associations of deprivation-related ELA with percentage of telomere length change were found.

CONCLUSIONS AND RELEVANCE

This study suggests that the accelerating association of ELA with biological aging might occur at an earlier age and in a genetic background-dependent and dimension-specific manner.

摘要

重要性

越来越多的文献表明,早期生活逆境(ELA)的暴露与生物衰老的加速有关,这提供了一种机制,通过这种机制,ELA 可能与与年龄相关的疾病风险增加有关。然而,这些研究主要是横断面的,集中在成年人和女性身上。

目的

评估与威胁相关(即身体虐待)和剥夺相关(即情感忽视)的 ELA 暴露与特定遗传背景的男孩和女孩在青春期前后的细胞和生殖策略生物老化指标之间的关联。

设计、地点和参与者:在这项队列研究中,从中国安徽省蚌埠市的 3 所大型小学招募了 997 名 1 至 3 年级的男孩和女孩,从 2016 年 3 月 21 日(基线;第 1 波)开始进行为期 4 年的随访,直至 2019 年 3 月 25 日。

主要结果和测量

结果是细胞和生殖策略指标的加速生物老化:端粒磨损和初潮(女孩)和睾丸成熟(男孩)的年龄。在基线(第 1 波)和 1 年随访(第 2 波)时对威胁相关和剥夺相关 ELA 的多信息进行了评估。根据 17 个单核苷酸变异计算了早期青春期时间的多基因风险评分(PRS)。

结果

在 997 名参与者(579 名女孩[58.1%];基线时的平均[SD]年龄为 8.0[0.8]岁)中,550 名(55.2%)报告接触过与威胁相关的 ELA,443 名(44.4%)报告接触过与剥夺相关的 ELA。与未暴露的同龄人相比,威胁相关的 ELA 与初潮提前 2.6 个月有关,而剥夺相关的 ELA 与初潮提前 3.3 个月有关;这些关联仅在 PRS 较低的女孩中观察到。在男孩中也发现了类似的模式。与未暴露的同龄人相比,威胁相关的 ELA 与睾丸体积增加 4 毫升或更多有关,提前 1.4 个月,而剥夺相关的 ELA 与睾丸体积增加 4 毫升或更多有关,提前 2.3 个月,但仅在 PRS 较低的男孩中观察到。接触更多威胁的男孩和女孩在 1 年随访期间的端粒长度变化百分比显著增加,但仅在 PRS 较低的男孩和女孩中观察到(男孩:β=1.50;95%CI,0.80-2.21;P<0.001;女孩:β=2.40;95%CI,1.78-3.05;P<0.001)和中等 PRS(男孩:β=1.09;95%CI,0.43-1.75;P=0.001;和女孩:β=1.27;95%CI,0.77-1.77;P<0.001)。与剥夺相关的 ELA 与端粒长度变化百分比之间没有关联。

结论和相关性

这项研究表明,ELA 与生物衰老加速的关联可能更早发生,并且在遗传背景依赖和维度特异性的方式下发生。

https://cdn.ncbi.nlm.nih.gov/pmc/blobs/0496/7506517/a977928f3dd9/jamanetwopen-e2013588-g001.jpg

文献AI研究员

20分钟写一篇综述,助力文献阅读效率提升50倍。

立即体验

用中文搜PubMed

大模型驱动的PubMed中文搜索引擎

马上搜索

文档翻译

学术文献翻译模型,支持多种主流文档格式。

立即体验