Suppr超能文献

美国老年女性的表观遗传年龄加速与健康长寿分析。

Analysis of Epigenetic Age Acceleration and Healthy Longevity Among Older US Women.

机构信息

Herbert Wertheim School of Public Health and Human Longevity Science, University of California San Diego, La Jolla.

Cancer Epidemiology Program, University of Hawaii Cancer Center, Honolulu.

出版信息

JAMA Netw Open. 2022 Jul 1;5(7):e2223285. doi: 10.1001/jamanetworkopen.2022.23285.

Abstract

IMPORTANCE

Accelerated biological aging is associated with decreased physical capability and cognitive functioning, which are associated with increased risk of morbidity and mortality.

OBJECTIVE

We investigated associations between epigenetic age acceleration (EAA), a biomarker associated with aging, and healthy longevity among older women.

DESIGN, SETTING, AND PARTICIPANTS: This cohort study was a secondary analysis of participants in the Women's Health Initiative (WHI) who were eligible to survive to age 90 years by September 30, 2020. Participants were located in multiple centers. This study was restricted to women with genome-wide DNA methylation data, generated from baseline blood samples within 3 WHI ancillary studies. Median (IQR) follow-up times from baseline were 21.6 (19.6-22.9) years and 21.4 (19.8-22.7) years for women who survived to age 90 years with and without intact mobility, respectively, and 13.2 (8.8-16.7) for women who did not survive to age 90 years. Data were analyzed from December 2020 to July 2021.

EXPOSURES

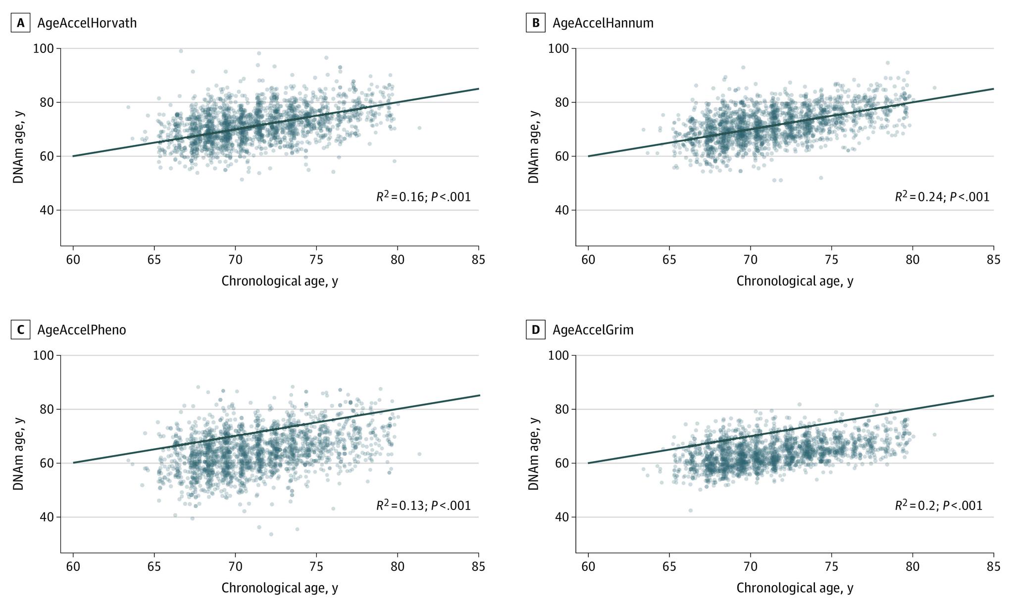
EAA was estimated using 4 established "clocks": Horvath pantissue, Hannum, Pheno, and Grim.

MAIN OUTCOMES AND MEASURES

Using multinomial logistic regression, odds ratios (ORs) and 95% CIs were estimated for 3 healthy longevity outcomes for each clock: survival to age 90 years with intact mobility, survival to age 90 years without intact mobility, and no survival to age 90 years.

RESULTS

Among 1813 women, there were 464 women (mean [SD] age at baseline, 71.6 [3.5] years) who survived to age 90 years with intact mobility and cognitive functioning, 420 women (mean [SD] age at baseline, 71.3 [3.2] years) who survived to age 90 years without intact mobility and cognitive functioning, and 929 women (mean [SD] age at baseline, 70.2 [3.4] years) who did not survive to age 90 years. Women who survived to age 90 years with intact mobility and cognitive function were healthier at baseline compared with women who survived without those outcomes or who did not survive to age 90 years (eg, 143 women [30.8%] vs 101 women [24.0%] and 202 women [21.7%] with 0 chronic conditions). The odds of surviving to age 90 years with intact mobility were lower for every 1 SD increase in EAA compared with those who did not survive to age 90 years as measured by AgeAccelHorvath (OR, 0.82; 95% CI, 0.69-0.96; P = .01), AgeAccelHannum (OR, 0.67; 95% CI, 0.56-0.80; P < .001), AgeAccelPheno (OR, 0.60; 95% CI, 0.51-0.72; P < .001), and AgeAccelGrim (OR, 0.68; 95% CI, 0.55-0.84; P < .001). ORs were similar for women who survived to age 90 years with intact mobility and cognitive function (eg, AgeAccelHorvath: OR per 1 SD increase in EAA, 0.83; 95% CI, 0.71-0.98; P = .03) compared with women who did not survive to age 90 years.

CONCLUSIONS AND RELEVANCE

These findings suggest that EAA may be a valid biomarker associated with healthy longevity among older women and may be used for risk stratification and risk estimation of future functional and cognitive aging. Outcomes suggest that future studies may focus on the potential for public health interventions to counteract EAA and its association with poor health outcomes to lower disease burden while increasing longevity.

摘要

重要性

加速的生物衰老与身体能力和认知功能下降有关,这些与发病率和死亡率的增加有关。

目的

我们研究了与衰老相关的生物标志物表观遗传年龄加速(EAA)与老年女性健康长寿之间的关联。

设计、地点和参与者:本队列研究是对有资格在 2020 年 9 月 30 日前活到 90 岁的妇女健康倡议(WHI)参与者的二次分析。参与者位于多个中心。本研究仅限于具有全基因组 DNA 甲基化数据的女性,这些数据来自 WHI 三个辅助研究中的基线血液样本。从基线到 90 岁时仍存活且具有完整活动能力的女性中位(IQR)随访时间分别为 21.6(19.6-22.9)年和 21.4(19.8-22.7)年,而没有存活到 90 岁的女性中位随访时间为 13.2(8.8-16.7)年。数据于 2020 年 12 月至 2021 年 7 月进行分析。

暴露情况

使用 4 种已建立的“时钟”来估计 EAA:Horvath 多组织、Hannum、Pheno 和 Grim。

主要结果和措施

对于每个时钟的 3 个健康长寿结果,使用多项逻辑回归估计了优势比(OR)和 95%置信区间(CI):有完整活动能力且认知功能正常地活到 90 岁、有完整活动能力但认知功能不正常地活到 90 岁、没有活到 90 岁。

结果

在 1813 名女性中,有 464 名女性(平均[SD]基线年龄,71.6[3.5]岁)有完整的活动能力和认知功能活到 90 岁,420 名女性(平均[SD]基线年龄,71.3[3.2]岁)有完整的活动能力但认知功能不正常活到 90 岁,929 名女性(平均[SD]基线年龄,70.2[3.4]岁)没有活到 90 岁。与那些没有这些结果或没有活到 90 岁的女性相比,有完整活动能力和认知功能且存活到 90 岁的女性在基线时更健康(例如,143 名女性[30.8%]与 101 名女性[24.0%]和 202 名女性[21.7%]相比,患有 0 种慢性疾病)。与那些没有活到 90 岁的女性相比,每个 SD 增加的 EAA 使活到 90 岁且有完整活动能力的可能性降低,HorvathAgeAccel(OR,0.82;95%CI,0.69-0.96;P=0.01)、HannumAgeAccel(OR,0.67;95%CI,0.56-0.80;P<0.001)、PhenoAgeAccel(OR,0.60;95%CI,0.51-0.72;P<0.001)和 GrimAgeAccel(OR,0.68;95%CI,0.55-0.84;P<0.001)。与那些没有活到 90 岁的女性相比,有完整活动能力且认知功能正常的女性(例如,HorvathAgeAccel:每增加 1 SD 的 EAA,OR 为 0.83;95%CI,0.71-0.98;P=0.03)的 OR 相似。

结论和相关性

这些发现表明,EAA 可能是与老年女性健康长寿相关的有效生物标志物,可用于风险分层和未来功能及认知老化的风险估计。研究结果表明,未来的研究可能侧重于公共卫生干预措施的潜力,以对抗 EAA 及其与不良健康结果的关联,从而降低疾病负担,同时增加寿命。

https://cdn.ncbi.nlm.nih.gov/pmc/blobs/8937/9331104/f0e413357ebe/jamanetwopen-e2223285-g001.jpg

文献AI研究员

20分钟写一篇综述,助力文献阅读效率提升50倍。

立即体验

用中文搜PubMed

大模型驱动的PubMed中文搜索引擎

马上搜索

文档翻译

学术文献翻译模型,支持多种主流文档格式。

立即体验