Suppr超能文献

癌症中C1GALT1的生物信息学分析:对预后、转移及治疗潜力的见解

Bioinformatic Analysis of C1GALT1 in Cancer: Insights Into Prognosis, Metastasis and Therapeutic Potential.

作者信息

Kalemoglu Ecem, Caner Ayse

机构信息

Department of Internal Medicine, Rutgers-Jersey City Medical Center, Jersey City, New Jersey, USA.

Department of Basic Oncology, Institute of Health Sciences, Ege University, Bornova, Izmir, Turkiye.

出版信息

Cancer Rep (Hoboken). 2025 Jun;8(6):e70259. doi: 10.1002/cnr2.70259.

Abstract

BACKGROUND

This study evaluates the expression, regulation, and clinical relevance of C1GALT1, a key enzyme in mucin-type O-glycosylation, across a broad spectrum of human cancers. Aberrant glycosylation is a well-established hallmark of malignancy, contributing to tumor growth, immune evasion, and metastasis. C1GALT1, also known as core 1 β1,3-galactosyltransferase or T-synthase, catalyzes the formation of the core 1 O-glycan structure and requires the chaperone Cosmc for proper folding and activity. While previous studies have implicated C1GALT1 in cancer progression, a systematic pan-cancer analysis exploring its gene expression patterns, epigenetic regulation, immune interactions, and prognostic significance has not been fully elucidated.

AIMS

This study aims to computationally investigate C1GALT1 expression, regulation, and clinical relevance across multiple cancers using TCGA datasets to evaluate its potential as a biomarker and therapeutic target.

METHODS

We conducted a comprehensive bioinformatic analysis of C1GALT1 using publicly available datasets from The Cancer Genome Atlas (TCGA). Gene expression, DNA methylation, and survival analyses were performed, along with correlation analyses between C1GALT1 and proliferation- or metastasis-related genes, Cosmc expression, and immune cell infiltration (specifically, regulatory T-cells [Tregs] and myeloid-derived suppressor cells [MDSCs]), using transcriptomic web platforms.

RESULTS

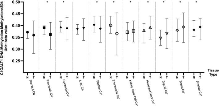
C1GALT1 expression was significantly upregulated in gastrointestinal and genitourinary cancers compared to normal tissues, while downregulated in thyroid, breast, and prostate cancers. Elevated expression correlated with reduced overall survival in lung, bladder, liver, and glioma/glioblastoma. DNA methylation analysis showed an inverse correlation between methylation and expression levels in multiple cancer types. C1GALT1 expression positively correlated with Cosmc, proliferation markers (MKI67, PCNA, MCM family, PLK1), and several metastasis-associated genes. Immune profiling revealed context-dependent correlations: C1GALT1 negatively correlated with Tregs and MDSCs in gastrointestinal cancers but positively in lung, breast, and prostate cancers.

CONCLUSION

Our pan-cancer analysis suggests that C1GALT1 is differentially expressed and epigenetically regulated across tumor types and may contribute to tumor proliferation, metastasis, and immune modulation. While these findings support C1GALT1 as a potential biomarker and therapeutic target, further in vitro and in vivo studies are necessary to validate its mechanistic roles and clinical utility.

摘要

背景

本研究评估了粘蛋白型 O-糖基化的关键酶 C1GALT1 在广泛的人类癌症中的表达、调控及其临床相关性。异常糖基化是一种公认的恶性肿瘤标志,有助于肿瘤生长、免疫逃逸和转移。C1GALT1,也称为核心 1β1,3-半乳糖基转移酶或 T-合酶,催化核心 1 O-聚糖结构的形成,并且需要伴侣蛋白 Cosmc 来实现正确折叠和活性。虽然先前的研究表明 C1GALT1 与癌症进展有关,但尚未对其基因表达模式、表观遗传调控、免疫相互作用和预后意义进行系统的泛癌分析。

目的

本研究旨在利用 TCGA 数据集对多种癌症中的 C1GALT1 表达、调控及其临床相关性进行计算研究,以评估其作为生物标志物和治疗靶点的潜力。

方法

我们使用来自癌症基因组图谱 (TCGA) 的公开可用数据集对 C1GALT1 进行了全面的生物信息学分析。利用转录组网络平台进行基因表达、DNA 甲基化和生存分析,以及 C1GALT1 与增殖或转移相关基因、Cosmc 表达和免疫细胞浸润(特别是调节性 T 细胞 [Tregs] 和髓源性抑制细胞 [MDSCs])之间的相关性分析。

结果

与正常组织相比,C1GALT1 在胃肠道和泌尿生殖系统癌症中表达显著上调,而在甲状腺癌、乳腺癌和前列腺癌中表达下调。在肺癌、膀胱癌、肝癌和神经胶质瘤/胶质母细胞瘤中,表达升高与总生存期缩短相关。DNA 甲基化分析显示在多种癌症类型中甲基化与表达水平呈负相关。C1GALT1 表达与 Cosmc、增殖标志物(MKI67、PCNA、MCM 家族、PLK1)以及几个转移相关基因呈正相关。免疫分析揭示了与背景相关的相关性:C1GALT1 在胃肠道癌症中与 Tregs 和 MDSCs 呈负相关,但在肺癌、乳腺癌和前列腺癌中呈正相关。

结论

我们的泛癌分析表明,C1GALT1 在不同肿瘤类型中存在差异表达和表观遗传调控,可能有助于肿瘤增殖、转移和免疫调节。虽然这些发现支持 C1GALT1 作为潜在的生物标志物和治疗靶点,但仍需要进一步的体外和体内研究来验证其机制作用和临床效用。

https://cdn.ncbi.nlm.nih.gov/pmc/blobs/3240/12183607/4904e078ce23/CNR2-8-e70259-g001.jpg

文献AI研究员

20分钟写一篇综述,助力文献阅读效率提升50倍。

立即体验

用中文搜PubMed

大模型驱动的PubMed中文搜索引擎

马上搜索

文档翻译

学术文献翻译模型,支持多种主流文档格式。

立即体验